
1. 역률 개선용 콘덴서 용량 계산
1) 정의
Er를 부하의 선형 전압[V], IL을 부하 전류[A], cosθ를 부하 역률이라 하고, 콘덴서를 설치해서 역률을 cosθ로부터 cosφ로 개선하는 데에 요하는 무효전력을 구하는 식이다.
2) 공식


2. 직류 배전선의 전압 강하
1) 일간에서 급전하는 경우

2) 말단 집중 부하의 경우

3) 양단에서 급전, 1점 부하의 경우, 양급전 전압이 같을 경우


4) 양급전 전압이 다를 경우

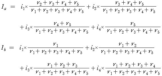
5) 양단에서의 급전, 다점 부하의 경우
4점 부하의 경우에 대해 급전점 A 및 B에서 유입하는 전류를 구한다.

① 양급전 전압이 다를 경우

② 양급전 전압이 다를 경우

위의 식에 의해 Ia, Ib의 값이 구해지면 각 구간에서의 전류와 저항치에 의하여 각 구간간의 전압 강하를 구할 수 있다.
6) 환상식 간선의 경우
그림(a)와 같은 1점 급전의 환상식 배전선은 급전점 F에서 회로를 개방한 그림(b)와 같은 양단 급전의 회로가 되므로, F에 의해 A 및 C에 흐르는 전류 Ia및 Ic를 구할 수 있다.

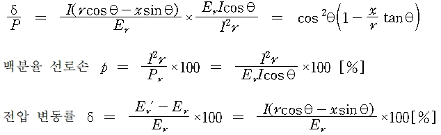
3. 교류 배전선의 전압 강하
1) 백분율 선로손과 전압 변동률과의 관계식

2) 교류 배전선의 전압 강하의 기호

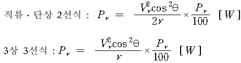
4. 선로 손실
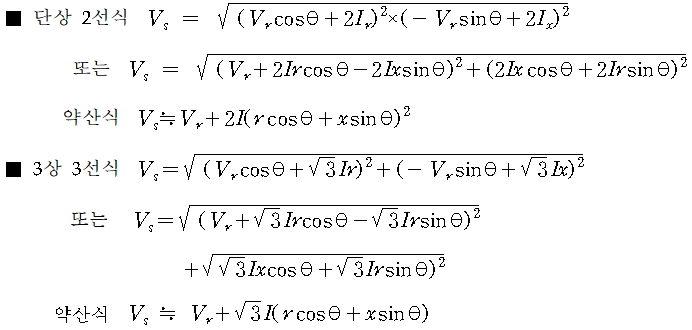
1) 송수전단 전압의 관계


위의 식은 벡터도에서 쉽게 유도된다. 따라서 그림 (a)와 같이 I를 기준으로 하면 처음의 식이 얻어진다. 또한, 그림 (b)와 같이 Vr을 기준으로 하면 나중의 식이 얻어진다.
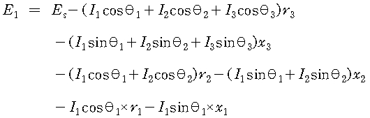
2) 일반 배전선에서의 전압 강하

그림과 같이 분기 부하의 어떤 일반 배전선의 경우에는 각 분기점에서의 전압 상호간의 위상차는 실제상 무시할 수 있을 정도로 적으므로 앞의 약산식을 적용할 수 있다.
이 경우 점 1의 성형 전압은 다음과 같이 표시된다.

3) 전압 강하율 및 전압 변동률

4) 기호

5. 송전 효율
1) 정의
수전단 전력의 송전단 전력에 대한 백분율을 송전 효율 η라 한다.
2) 공식

6. 수전 전력
1) 송수전단 전압이 주어진 경우

2) 전압 변동률이 주어진 경우

3) 백분률손이 주어진 경우

7. 부하 관계 용어

| 전기설비 보호계전 시스템 Chapter.02 - 과전류 계전기(OCR) (2) | 2024.05.03 |
|---|---|
| 전기설비 보호계전 시스템 Chapter.01 - 전력용 콘덴서 보호 외 (0) | 2024.05.02 |
| 전력공학 공식(Power Engineering Maths) Chapter.05 (0) | 2024.04.29 |
| 전력공학 공식(Power Engineering Maths) Chapter.04 (0) | 2024.04.26 |
| 전력공학 공식(Power Engineering Maths) Chapter.03 (0) | 2024.04.25 |