
1. 중성점의 잔류 전압
1) 정의
비접지 3상 송전선의 각상 대지 어드미턴스(admittance)가 접지 않으면 변압기 중성점에 전압이 나타난다. 이것을 잔류 전압이라고 하며, 중성점을 접지시켰을 때 영상 전류가 흐르는 원인이 된다.
2) 공식
그림에서와 같이, 각 상 대지 어드미턴스를 Ya, Yb, Yc 라 하고 a상의 기전력을 기준 벡터로 하면, 잔류 전압 En은 다음과 같다.


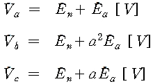
이때, 각 상의 전위는

만약, 대지 어드미턴스로 대지 정전 용량만을 고려한 것으로 하여 그 값을 Ca, Cb, Cc라 하면, 이때의 잔류 전압 En은 다음과 같다.

또, 잔류 전압의 크기는 다음 식으로 나타낼 수 있다.

2. 정전 유도
1) 단선식인 경우
단선식 전력선과 단선식 통신선이 근접하고 있는 경우에 양선간의 정전 용량을 Cm, 통신선의 대지 정전 용량을 Co라 하면, 전선의 전위가 E1일 때 통신선의 정전 유도 전압 E0는 다음과 같다.

이 식은 통신선의 절연이 완전할 경우이나, 그림에서와 같이 누설 저항 R0를 고려하면 다음과 같이 된다.

2) 3상 3선식
3상 3선식 전력선과 단선식 통신선의 경우 각 선간의 정전 용량과 전류를 그림에 표시한 바와 같이 정하면 다음 식이 성립한다.

따라서, 위 식으로부터 통신선에 유도되는 대지 전위 E0는


앞의 식들로부터 Ca, Cb, Cc가 같지 않으면 통신선에 정전 유도 전압이 생기며 상시 통신 장해가 된다는 것을 알 수 있다. 전력선과 통신선의 정전 용량의 값이 균일하게 되도록 연가하면 유도 전압은 감소한다.

또, 전력선의 대지정전용량이 같지 않기 때문에 중성점에 잔류전압 En이 생겼다면

3. 전자 유도 전압
1) 정의
전자 유도는 전력선과 통신선의 상호 인덕턴스 때문에 전력선의 기유도 전류에 의하여 통신선에 전압이 유기되는 현상이다.
2) 공식
전력선에 전류 Ia, Ib, Ic가 흐르고 통신선과 각상 M[H/㎞]인 상호 인덕턴스를 가지며, 병행 길이가 ℓ[㎞]라면, 전자 유도 전압 Em[V]는

3I0를 기유도 전류라 한다.

4. 카슨 - 폴라체크의 식
1) 정의
통신선과 각상의 상호 인덕턴스 M[H/㎞] 값은, 전류의 귀로인 대지의 도전률이 균일한 경우에는 카슨-폴라체크(Carson Pollaczek)의 식으로 계산한다.
2) 공식

5. 전자 유도 전압 실험식
1) 정의
전력선과 통신선이 평행이 아닌 경우에, 실용적으로는 다음 실험식을 쓴다.
2) 공식
전력선의 영상 전류 1[A]당 전자 유도 전압 em[V/A]는

윗 식에서의 괄호 내 계산은 5만분의 1지도상에 전력선과 통신선을 그리고, 전력선을 기준으로 해서 제 1항은 100~5,000[m]의 근접 부분에 대해, 제 2항은 100[m]이내의 근접 부분에 대해서 계산하며, 5,000[m] 이상은 생략한다.
6. 정태 안정도
1) 정의
송전 계통이 불변 부하 또는 극히 서서히 증가하는 부하에 대하여 계속적으로 송전할 수 있는 능력을 정태 안정도라고 하고, 안정도를 유지할 수 있는 극한의 송전 전력을 정태 안정 극한 전력이라 한다.
2) 공식

① 전력 상차각 곡선
선로의 어드미턴스와 저항분을 무시하면

로 표시된다. 이러한 관계를 그림과 같이
도시하여 전력 상차각 곡선이라 하며, δ=90°일 때 최대 전력 Pm으로 된다.

또, X, VS 및 VR은 일정하므로 송전 전력은 상차각 δ에만 관계된다.
② 정태 안정도의 해석
정확한 계산은 원선도에 의해야 하나, 일반적으로 식①에서 δ의 증가에 대해서 P가 증가하는 범위, 즉

의 범위안 δ=90°까지는 안정 범위이고, 그 이후는 불안정 범위이다. 저항을 고려하면 물론 δ=90°보다 작아져서 δ=75°~85°정도가 된다.
또, 바그너(Wagner)의 식은 안정도의 한계를 결정한다.

식 ②에서

7. 과도 안정도
1) 정의
계통에 갑자기 고장 사고와 같은 급격한 외란이 발생하였을 때에도 탈조하지 않고 새로운 평행 상태를 회복하여 송전을 계속할 수 있는 능력을 과도 안정도라 하고, 이 경우의 극한 전력을 과도 안정 극한 전력이라고 한다.
2) 공식
① 고장시의 전력 계산시
고장 계산은 대칭 좌표법을 사용하며 불평형 고장에 대하여 역상분, 역상분의 영향을 무시할 수 있으므로, 정상분 회로에 대한 전력만을 생각하면 된다.
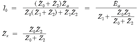
ⓐ 1선 접지

즉, 1선 접지시의 정상 회로의 임피던스는 Z0+Z2를 Z1과 직렬로 한 것의 등가이다. 또, Z0, Z1, Z2는 각각 고장점에서 본 송․수전 양단의 임피던스를 병렬로 한 것이므로, 정상 회로에 대하여 생각하면 Zx=Z0+Z2인 임피던스가 고장점과 가상 중성선간에 삽입된 회로와 등가이다.
ⓑ 2선 접지

ⓒ 선간 단락

대칭 좌표법에 따라 고장점에서 본 영상, 역상 임피던스에 대하여 고장 전류의 종류별로 정상 임피던스 Zx를 고장점과 직렬 또는 병렬로 넣고, 평형 정상 회로로 생각해서 송전전력을 계산하면 된다.
② 동요 방정식
과도 안정도는 회전체의 운동 에너지의 수수에 의하여 결정된다. 회전체 운동 에너지는

회전체의 관성 능률을 표시하는 데에는 과도 안정도에서 단위 관성 정수를 사용한다. 단위 관성 정수는 다음과 같다.

보통 이 값은 수차 발전기에서 6~8, 증기 터빈 발전기에서 4~5정도로서 거의 일정한 값을 가진다.
https://electriceng.tistory.com/1156
전력공학 공식(Power Engineering Maths) Chapter.01
전력공학 공식(Power Engineering Maths) Chapter.01 1. 물의 위치수두1) 정의수두를 헤드라고도 한다. 단위는 길이의 차원이나 위치 에너지를 구하는 기본이 되는 값이며, h는 수면의 높이이다. 즉, 단
electriceng.tistory.com
https://electriceng.tistory.com/1157
전력공학 공식(Power Engineering Maths) Chapter.02
전력공학 공식(Power Engineering Maths) Chapter.02 1. 정전 용량 1) 단도체인 경우 ① 작용 정전 용량 ② 대지 정전 용량 ○ 지표상 동일 높이에 가선된 단상 1회선인 경우 ○ 3상 1회선인 경우 2) 복도체인
electriceng.tistory.com
https://electriceng.tistory.com/1158
전력공학 공식(Power Engineering Maths) Chapter.03
전력공학 공식(Power Engineering Maths) Chapter.03 1. 퍼센트법, 단위법, 오옴법1) 정의선로 임피던스를 취급하는 방법으로 퍼센트법, 단위법(per unit) 및 오옴(ohm)법 등이 있다. 기준 전압에 대한 임피
electriceng.tistory.com
| 전력공학 공식(Power Engineering Maths) Chapter.06 (0) | 2024.04.30 |
|---|---|
| 전력공학 공식(Power Engineering Maths) Chapter.05 (0) | 2024.04.29 |
| 전력공학 공식(Power Engineering Maths) Chapter.03 (0) | 2024.04.25 |
| 전력공학 공식(Power Engineering Maths) Chapter.02 (0) | 2024.04.24 |
| 전력공학 공식(Power Engineering Maths) Chapter.01 (0) | 2024.04.23 |