
1. 정전 용량
1) 단도체인 경우
① 작용 정전 용량

② 대지 정전 용량
○ 지표상 동일 높이에 가선된 단상 1회선인 경우

○ 3상 1회선인 경우

2) 복도체인 경우
앞에 기술한 경우에 단도체인 전선의 반지름 r대신에

3) 부분 정전 용량 사이의 관계
① 단상 1회선인 경우
작용 정건 용량 C, 대지 정전 용량 Cs, 전선간의 정전 용량 Cm 사이에 는 다음과 같은 관계가 있다.

② 3상 1회선인 경우

③ 3상 2회선인 경우

2. 코로나
1) 코로나 임계 전압
공기는 보통 절연물이라고 취급하고 있지만 표준상태 (20[℃], 760[㎜/Hg])에 있어서 직류로 약 30[kV/㎝], 교류로는 그 1/1.732인 약 21.1[kV/㎝]의 전위 경도를 가하면 절연이 파괴되는데, 이것을 파열 극한 전위 경도 g0라고 한다. 송전선에 g0 = 21.1[kV/㎝]의 전위 경도가 되었을 때, 코로나가 발생하는 임계 전압 E0는 상전압으로

2) 코로나 손실
|
전선의 표면상태
|
m0
|
|
잘 다듬어진 단선
표면이 거친 단선 7개 연선 19~61개 연선 |
1
0.98~0.93 0.87~0.83 0.85~0.80 |
코로나가 발생하면 전력 손실이 따른다. 코로나 손실에 관한 Peek의 실험식은 다음과 같다.

3. 전선로의 충전 전류 및 충전 용량
1) 충전전류

2) 충전 용량

4. 4단자 정수
1) 정의
송전 선로는 송전선 자체와 발전기, 변압기, 애자 등의 각종 기계 기구가 연결되어 있으며, 송전 선로의 전기적 특성을 다루는 데 있어서 이들은 선로 정수인 저항, 인덕턴스, 정전 용량 및 누설 콘덕턴스로 작용한다. 복잡하게 연결된 송전선로를 간단히 취급하기 위해서는 4단자 정수

를 이용하며, 이들 사이에는 반드시

의 관계가 있다.
2) 공식
4단자 정수를 송전선 자체만 생각할 때는

5. 단거리 선로
1) 정의
배전선이나 단거리 (수십[㎞]) 송전선에서는 선로 정수로서 저항과 리액턴스만이 한곳에 집중되어 있는 집중 정수 회로로 취급한다.
2) 공식



6. 중거리 송전선(T형)의 송전단전압
1) 정의
중거리 송전선에서는 선간 용량을 무시할 수 없기 때문에 T형 등가회로에서는 그림과 같이 중앙에 어드미턴스를 놓아 선로임피던스를 두 개로 분리한다. 계산은 복소수를 쓰기 때문에 복잡해지며 또 전류는 선전류이나 전압은 대(對) 중성점의 값이다.
2) 공식


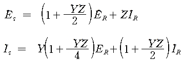
7. 중거리 송전선(π형)의 송전단전압
1) 정의
중거리 송전선에서는 선로의 임피던스를 중앙에 모으고 어드미턴스를 2분해서 양단에 놓아 π형으로 한 경우의 송전단 전압의 근사식이다. T형 회로와 마찬가지로 선간 어드미턴스[대(對) 중성선 환산]를 무시할 수 없는 경우에 쓰며 식의 각 요소는 복소수로 나타내어야 한다.
2) 공식


8. 장거리 송전선로의 송전단전압․전류(일선對중성전선)
1) 정의
장거리 송전선로의 길이의 정의는 명확하지 않으나 보통 300㎞ 이상은 장거리 송전선으로 보아도 된다. Z는 한 가닥의 도선의 단위 길이당 저항과 임피던스로부터 결정하고, Y는 한 가닥의 도선의 대(對)중앙선 용량과 리액턴스로부터 구한다. 전반(전반)정수 γ가 복소수인 경우는 쌍곡선 함수를 전개해서 값을 구한다.
2) 공식

9. 전력 원선도
1) 정의
송전단전압과 수전단전압이 일정하고 임의의 역률일 때의 유효전력이나 무효전력 등을 구하는 원선도이다. 그림에서 Pr이 유효전력, Qr이 무효전력이고 OA가 그때의 피상전력이다. 피상전력이 궤적상에 없을 때는 정전압 송전을 할 수 없기 때문에 앞서거나 뒤진 전력을 공급해 주어야 하는데 예를 들면 OB의 앞선 무효전력을 공급하면 원선도상에 온다.
2) 공식


10. 고유 부하법(송전 용량)
1) 정의
수전단에 선로의 특성 임피던스와 같은 임피던스 부하를 접속하고, 저항이나 리액턴스를 무시하면 선로 각 점의 무효 전력이 0이 되어 이상적인 송전이 된다. 이 부하가 고유 부하이다.
단도체보다 복도체를 사용하면 L은 감소하고 C는 증대하게 되므로, 특성 임피던스가 작아져서 결과적으로 송전 선로의 고유 송전 용량이 커지게 된다. 따라서 일반적으로 고전압 장거리 송전선에서 복도체 방식을 많이 쓰고 있다.
2) 공식

11. 송전 용량 계수법
1) 정의
고유 부하법에서는 선로의 길이에 관계없이 전압의 크기만으로 정해지기 때문에, 여기에 선로의 길이를 고려한 것이다.
2) 공식

|
전압 계급[kV}
|
송전 용량 계수
|
|
60
100 140 |
600
800 1200 |
12. Still의 식
1) 정의
Still의 식은 중거리 송전 선로에 적합한 경제적인 송전 전압을 결정하는 데 적합하다.
2) 공식

https://electriceng.tistory.com/1156
전력공학 공식(Power Engineering Maths) Chapter.01
전력공학 공식(Power Engineering Maths) Chapter.01 1. 물의 위치수두1) 정의수두를 헤드라고도 한다. 단위는 길이의 차원이나 위치 에너지를 구하는 기본이 되는 값이며, h는 수면의 높이이다. 즉, 단
electriceng.tistory.com
https://electriceng.tistory.com/1158
전력공학 공식(Power Engineering Maths) Chapter.03
전력공학 공식(Power Engineering Maths) Chapter.03 1. 퍼센트법, 단위법, 오옴법1) 정의선로 임피던스를 취급하는 방법으로 퍼센트법, 단위법(per unit) 및 오옴(ohm)법 등이 있다. 기준 전압에 대한 임피
electriceng.tistory.com
https://electriceng.tistory.com/1159
전력공학 공식(Power Engineering Maths) Chapter.04
전력공학 공식(Power Engineering Maths) Chapter.04 1. 중성점의 잔류 전압1) 정의 비접지 3상 송전선의 각상 대지 어드미턴스(admittance)가 접지 않으면 변압기 중성점에 전압이 나타난다. 이것을 잔류 전
electriceng.tistory.com
| 전력공학 공식(Power Engineering Maths) Chapter.04 (0) | 2024.04.26 |
|---|---|
| 전력공학 공식(Power Engineering Maths) Chapter.03 (0) | 2024.04.25 |
| 전력공학 공식(Power Engineering Maths) Chapter.01 (0) | 2024.04.23 |
| 금속의 전기적 부식방지(방식) 방법 (0) | 2024.04.22 |
| Y-△ 변환 공식 유도방식 (0) | 2024.04.18 |