
1. 퍼센트법, 단위법, 오옴법
1) 정의
선로 임피던스를 취급하는 방법으로 퍼센트법, 단위법(per unit) 및 오옴(ohm)법 등이 있다. 기준 전압에 대한 임피던스 강하의 백분율이 퍼센트법이고, 기준전압에 대한 임피던스 강하의 비가 단위법이다.
2) 공식
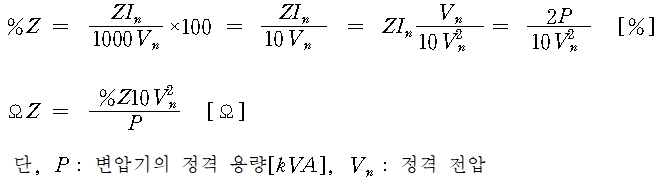
① %임피던스와 Ω임피던스와의 관계

② %임피던스의 집계
%Z를 집계할 때는 먼저 기준 용량을 정하여 환산한다. 즉, [kVA] 용량이 다른 각 부분의 %Z를 그 때 채용한 기준 용량 [kVA]과 실제의 그 기기의 [kVA] 용량과의 비를 곱해 주면 된다.

2. 대칭 좌표법
1) 정의
고장시에는 일반적으로 3상회로는 비대칭으로 되어 계산이 곤란하게 되므로, 이를 영상․역상․정상의 3개 대칭 회로로 분해하여 계산한 다음 그 결과를 합하여 해를 구하는 방법을 대칭 좌표법이라 한다.

2) 공식


3. 3상 교류 발전기의 기본식
1) 정의
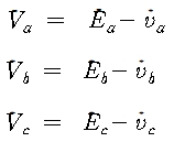
3상 교류발전기에 임의의 불평형 전류가 흐를 경우 그 단자전압과 전류와의 관계를 구한다. 3상 교류발전기의 각상의 유기전압은 3상대칭이므로 무부하시 그 단자전압은 3상평형 상태에 있게된다. 그러나 이 발전기에 불평형 부하를 걸면 불평형 전류에 의한 전기자 권선의 전압강하 때문에 그 단자전압은 비대칭으로 된다.
2) 공식
① 단자 전압

② 각상 전압 강하


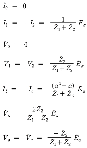
4. 3상 교류 발전기의 1선 지락 사고
1) 정의
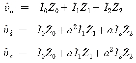
A상 단자가 직접 접지된 경우의 접지전류 Ie
건전상 전압 =

대칭분 전류 =

대칭분전압 =

는 다음과 같이 된다.
2) 공식

5. 3상 교류 발전기의 2선 지락 사고
1) 정의

2) 공식


6. 3상 교류 발전기의 단상, 3상 단락 사고
1) 정의

2) 공식
① 단상단락사고


② 3상 단락 사고

7. 3상 단락 전류와 단락용량
3상 단락 전류를 계산하기 위해서는 우선 Z를 알아야 한다.

이므로, 3상 단락 전류는

단락용량은

8. 비접지방식

a상에 지락이 발생했을 경우 고장 전류는 Ig는

식 ② 의 Ig는 대지 충전 전류이므로 선로의 길이가 짧다는 그 값도 적고 계통에 주는 영향도 적으며, 과도 안정도도 좋다. 또한, Ig가 작으므로 유도 장해도 적어진다.
그러나, 만약 선로의 길이가 길어지면 Cs가 증가하므로 충전 전류의 값도 커진다. 따라서 이 방식은 저전압, 단거리 선로에만 적용되어 3.3[kV] 나 6.6 [kV] 계통에 쓰인다.
9. 직접 접지 방식
1) 정의
보통 유효접지방식이라 하며, 이 계통에서는 건전상의 고장 지점의 대지 전압이 상전압의 1.3배 이상 되지 않기 때문에 선간 전압의 75[%]에 머물게 된다.
2) 공식

그러므로 이러한 상태에서는 다음 조건이 성립될 때 충족되는 것을 고장점에서 보아 유효 접지의 조건이라고 한다.

10. 저항 접지 방식
이 방식은 직접 접지 방식의 큰 고장 전류를 제한하여, 통신선 유도 장해 저감 및 과도 안정도 증진에 주안점을 둔 것이다. 저항값이 높아지면 비접지 경향이 나타나고, 낮아지면 직접 경향이 나타난다.
우리 나라에서는 채용하고 있지 않으나, 일본에서는 200[kV] 계통에 저저항 (30[Ω] 정도)을 154[kV]와 110[kV] 계통에는 고저항 (400~900[Ω])을 66[kV] 계통에는 200~400[Ω]을 사용하며, 지락 전류의 값을 100~250 [A] 정도로 제한하고 있다.
또한, 중성점을 저저항 (200 [kV] 계통에서는 30[Ω] 정도)을 통해서 접지시키는 방식과 중성점을 고저항 (100~1000 [Ω] 정도)을 통해서 접지시키는 방식이 있는데, 1선 지락 전류는 100~300 [A] 정도가 많다.
보통 140[kV]급 송전선에서는 400~900[Ω], 60[kV]급에서 100~400[Ω]이 사용되고 있으며, 지락 전류가 접지 개소에 분산되어 흐르기 때문에 통신선에 유기되는 전자 유도 전압이 경감되며, 그 회로도는 그림과 같다.

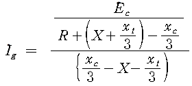
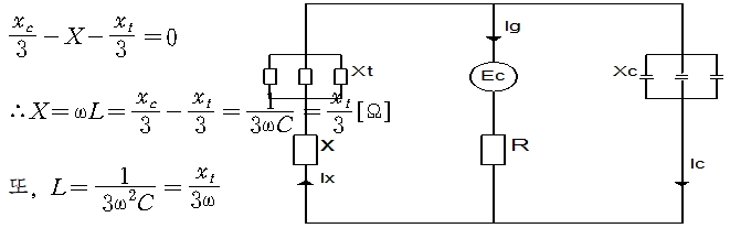
11. 소호 리액터 접지 방식
1) 소호 조건
그림에서 소호 리액터의 인덕턴스를 L, 각 상 대지 정전 용량을 C라고 하면, 소호 리액턴스 X와 대지 정전 용량의 리액턴스 Xc는

등가 회로에서는 Ig는


그러므로, 윗 식에서는

2) 소호 리액터의 용량

3) 소호 리액터의 합조도
소호 리액터의 탭이 공진점을 벗어난 정도를 합조도 한다.
소호 리액터 사용 탭 전류를 I, 전대지 충전 전류를 Ic라고 하면

https://electriceng.tistory.com/1156
전력공학 공식(Power Engineering Maths) Chapter.01
전력공학 공식(Power Engineering Maths) Chapter.01 1. 물의 위치수두1) 정의수두를 헤드라고도 한다. 단위는 길이의 차원이나 위치 에너지를 구하는 기본이 되는 값이며, h는 수면의 높이이다. 즉, 단
electriceng.tistory.com
https://electriceng.tistory.com/1157
전력공학 공식(Power Engineering Maths) Chapter.02
전력공학 공식(Power Engineering Maths) Chapter.02 1. 정전 용량 1) 단도체인 경우 ① 작용 정전 용량 ② 대지 정전 용량 ○ 지표상 동일 높이에 가선된 단상 1회선인 경우 ○ 3상 1회선인 경우 2) 복도체인
electriceng.tistory.com
https://electriceng.tistory.com/1159
전력공학 공식(Power Engineering Maths) Chapter.04
전력공학 공식(Power Engineering Maths) Chapter.04 1. 중성점의 잔류 전압1) 정의 비접지 3상 송전선의 각상 대지 어드미턴스(admittance)가 접지 않으면 변압기 중성점에 전압이 나타난다. 이것을 잔류 전
electriceng.tistory.com
| 전력공학 공식(Power Engineering Maths) Chapter.05 (0) | 2024.04.29 |
|---|---|
| 전력공학 공식(Power Engineering Maths) Chapter.04 (0) | 2024.04.26 |
| 전력공학 공식(Power Engineering Maths) Chapter.02 (0) | 2024.04.24 |
| 전력공학 공식(Power Engineering Maths) Chapter.01 (0) | 2024.04.23 |
| 금속의 전기적 부식방지(방식) 방법 (0) | 2024.04.22 |