
1. 캘빈의 법칙
1) 정의
경제적인 전선의 굵기를 정한다.
2) 공식

대략 최대 송전 전력에 대한 전류 밀도는 (2~1.4)δ정도이다.
대체로 전선은 경동선과 ACSR이고, 해안 지방에서는 부식 때문에 경동선이 사용된다.
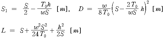
2. 전선의 이도
1) 전선의 이도에서의 기호

2) 이도와 전선의 길이
① 지지점의 높이가 같은 경우


② 지지점의 높이가 다를 경우


3) 온도와 전선의 길이 이도
온도와 전선의 길이와의 관계식은 다음과 같다.

각종 전선의 선팽창 계수의 대략값은 다음과 같다.

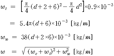
3. 전선의 무게
1) 정의
이도 계산에서는 전선의 무게 Wc[㎞/m]만을 생각하였으나, 풍압 Ww과 빙설 Wt도 각각 고려되어야 한다. 풍압에는 갑, 을 및 병종의 3종류가 있고, 갑이 76[㎏/㎡], 병이 그 1/2, 을은 전선 주위의 두께 6[㎜], 비중 0.9인 빙설이 부착한 상태에서 38[㎏/㎡]로 본다(전기 설비 기술 기준령 제64조 참조). 따라서 을종인 경우의 합성 하중은 다음과 같다.
2) 공식


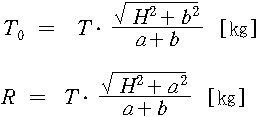
4. 보통 지선의 장력
1) 정의
목주를 수평 장력 T로서 당기고 있을 때 지선의 장력 T0[㎏]를 구할 수 있다.
2) 공식

지금, 지선에 4[㎜]의 아연 도금 철선을 n조로 쓰고 그 인장 강도를 36[㎏/㎟], 안전율이 3이면, 지선에 작용한 응력 T0 [㎏]


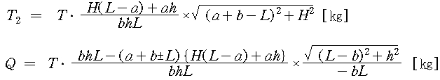
5. 경사 전주 지선의 장력
1) 정의
경사 전주의 지선의 장력을 구한다.
2) 공식


6. 수평 지선의 장력
1) 정의
수평 지선의 장력을 구한다.
2) 공식


7. 전력 케이블의 작용 정전 용량의 관계
1) 정의
3심 케이블의 각 정전 용량의 관계는 그림에 나타낸 것과 같으며, 여기서 Cs는 대지 정전 용량, Cm은 상호 정전 용량을 표시한다. 그림 (b)처럼 1심과 다른 2심 연파와의 사이의 정전 용량을 Ca라 하고, 그림 (c)처럼 2심을 일괄한 것과 다른 1심 연파와의 사이의 정전 용량을 Cb라 하면, Ca, Cb의 축정치에서 Cs, Cm 및 작용 정전 용량 Cw는 다음과 같이 구해진다.
2) 공식


8. 부하 중심점(Load Center)
1) 정의
부하 중심점을 구하는 방법을 다음 식으로 산출한다.
2) 공식
① 분산 부하인 경우


② 직선상 부하인 경우


9. 전선의 굵기
1) 송수전단 전압이 주어진 경우
선로의 리액턴스를 무시한 1선의 허용 저항 r는

2) 전압 변동률이 주어진 경우
선로의 리액턴스를 무시한 1선의 허용 저항 r는


3) 백분률손이 주어진 경우
1선의 허용 저항 r는

| 전기설비 보호계전 시스템 Chapter.01 - 전력용 콘덴서 보호 외 (0) | 2024.05.02 |
|---|---|
| 전력공학 공식(Power Engineering Maths) Chapter.06 (0) | 2024.04.30 |
| 전력공학 공식(Power Engineering Maths) Chapter.04 (0) | 2024.04.26 |
| 전력공학 공식(Power Engineering Maths) Chapter.03 (0) | 2024.04.25 |
| 전력공학 공식(Power Engineering Maths) Chapter.02 (0) | 2024.04.24 |