
1. 비정현파의 푸우리에 급수에 의한 전개

2. 비 정현파의 대칭
1) 여현대칭(우함수파)

2) 정현대칭(기함수파)

3) 반파대칭

4) 반파 및 여현대칭

5) 반파 및 정현대칭

3. 실효값

4. 왜형률
왜형률은 전고조파의 실효값과 기본파의 실효값의 비로 구해진다.

5. 전력
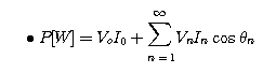
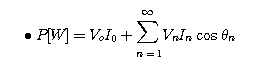
1. 유효전력

2. 무효전력

3. 피상전력

4. 등가전력

| 회로이론 - 과도현상(R-L 직렬회로) (0) | 2021.10.06 |
|---|---|
| 회로이론 - 분포정수회로 (0) | 2021.10.05 |
| 회로이론 - 대칭좌표법 (0) | 2021.10.01 |
| 회로이론 - 다상교류 (0) | 2021.09.30 |
| 회로이론 - 회로망 (1) | 2021.09.29 |