1. R-L직렬회로 (직류전압을 인가하는 경우)

1) 평형방정식

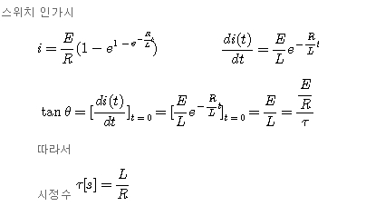
2) 전류 (단, 초기조건 t=0, i=0)


3) 시정수

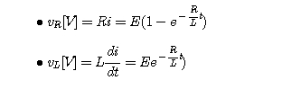
4) R-L양단의 전압

2. R-L직렬회로 (직류전압을 제거하는 경우)

1) 평형방정식

2) 전류

3) 시정수

| 전력공학 - 코로나 방전(Corona Discharge) (0) | 2021.10.08 |
|---|---|
| 전력공학 - 송배전(선로정수) (0) | 2021.10.07 |
| 회로이론 - 분포정수회로 (0) | 2021.10.05 |
| 회로이론 - 왜형파 (0) | 2021.10.04 |
| 회로이론 - 대칭좌표법 (0) | 2021.10.01 |