
1. 개요
선로는 저항(R), 인덕턴스(L), 정전용량(C), 누설콘덕턴스(G)가 균일하게 분포되어 있는 전기회로이다.
선로정수는 선로의 전압, 전류, 전압강하, 송수전단, 전력 등의 특성을 계산하는 요체이며,
전선의 종류, 굵기, 배치, 길이에 따라 결정되고 전압, 전류, 역율, 기온 등에는 영향을 받지 않는다.
(특수한 경우로 전류밀도가 커짐에 따라 온도가 상승, 저항이 증가되는 경우, 코로나 발생으로 정전용량이 다소 증가되는 경우가 있다.)
2. 저항
전선도체의 도전율, 단면적, 연선 방법에 따라 결정되며, 온도 상승에 따라 저항이 상승된다.
또한, 도체에 교류가 흐르게 되면 자극에 따른 기전력으로 도체내부의 전류밀도 균형이 깨진다. 따라서 도체 내부로 들어갈수록 전류밀도는 낮아지고, 위상 각이 늦어지게 되어 전류가 도체외부로 몰리게 된다. 결과적으로 전선의 단면적이 감소되어 발열현상이 (단절연을 하는 이유)으로 나타나게 된다.
특히, 고주파 전원에서 이 표피효과 현상을 유의하여야 한다.
1) 직류도체 저항
r (Ω/m) = (k1× k2× k3 ×k4) / (58×S×ρ)
k1 : 소선의 연입율
k2 : 분활도체 및 다심 케이블 집합의 연입율
k3 : 압축 성형에 따른 가공 경화계수
k4 : 최대도체 저항계수
S : 도체의 단면적(㎟)
ρ : 도전율
1-1) 온도변화에 따른 저항

- Rt : t℃의 저항
- Rt0 : 기준온도 t℃의 저항
- αt0 : 기준온도 t0℃에 대한 정질량 온도계수
1-2) 저항율

- C : %도전율
2) 교류도체 실효저항
· r = 직류저항 ×표피효과 ×근접효과
· 지중전선로의 도체저항

- k1 : 연입에 의한 증가
- k2 : 저항온도계수에 의한 증가
- k3 : 표피효과 및 근접효과 증가
- A : 도체의 단면적(㎟)
- η : 도전율(소수)
· 지중전선로의 절연저항

- ρ : 유전체 저항율(Ω·㎝)
2-1) 표피효과

· 도체에 교류가 흐르게 되면 자극에 따른 기전력으로 도체내부의 전류밀도 균형이 깨진다. 따라서 도체 내부로 들어갈수록 전류밀도는 낮아지고, 위상각이 늦어지게 되어 전류가 도체외부로 몰리는 현상
· 전선 단면적 내의 중심부일수록 자속 쇄교수가 커져서 인덕턴스가 증가하므로 중심부에는 전류가 흐르기 어렵기 때문이다.
2-2) 근접효과
도체가 평행배치일 때 양 도체 전류의 상호작용에 의해 두 개의 선이 서로 가깝거나 먼 경우에 전류밀도가 증가(불균일)하는 현상.
3. 인덕턴스
자기 인덕턴스와 상호 인덕턴스가 있으나 보통 전력계통에서는 이를 일체로 하여 항상 1상에 대하여 나타내며, 길이가 길수록 상호 인덕턴스가 커진다. (인덕턴스 계산식의 유도)

4. 정전용량
전압이 낮을 때는 무시해도 가능하나 전압이 높을 때는 영향이 커지게 되므로 검토하여야 한다.

5. 누설콘덕턴스(Leakage Conductance)
평상시, 건조시에는 애자누설저항이 대단히 크기 때문에 송전선로의 특성 검토의 경우 이외에는 무시해도 좋다.

· 송전선로에서 애자표면의 누설전류에 대한것으로 그값이 적어 무시되나 코로나가 생길 경우 이 영향을 등가적인 누설 콘덕턴스로 취급할 때도 있다.
· 누설콘덕턴스는 매우 적은 값이므로 송전선로의 병렬 어드미턴스로 생각하여 취급한다.
· 보통 50km 단거리 송전선로에서는 정전용량과 누설콘덕턴스를 무시하고 저항과 인덕턴스가 1개소 집중된 전기회로로 취급해도 된다.(T회로라 한다)
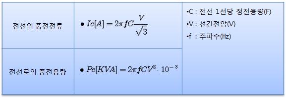
6. 충전용량

| 전력공학 - 유도장해 및 안정도 (0) | 2021.10.12 |
|---|---|
| 전력공학 - 코로나 방전(Corona Discharge) (0) | 2021.10.08 |
| 회로이론 - 과도현상(R-L 직렬회로) (0) | 2021.10.06 |
| 회로이론 - 분포정수회로 (0) | 2021.10.05 |
| 회로이론 - 왜형파 (0) | 2021.10.04 |