
1. 정전유도

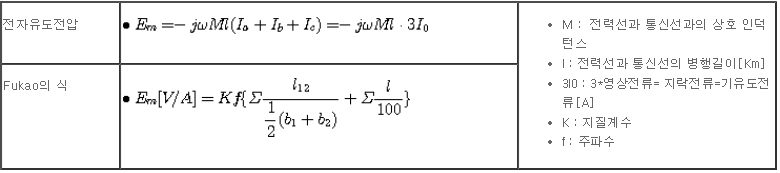
2. 전자유도

3. 유도장해 방지대책
1) 전력선측의 대책
전력선과 통신선과의 상호 이격거리를 크게 하여 상호인덕턴스를 줄인다.
연가를 충분히 한다(선로정수를 평형시켜 증성점 잔류전압을 적게한다.)
케이블을 사용한다.
고주파의 발생을 방지한다.
통신선과의 교차를 직각으로 한다.
소호리액터를 사용한다(지락전류를 적게 하여 전자유도를 적게 한다)
고장회선을 고속도로 차단한다.
차폐선을 설치한다(가공선도 차폐선과 같은 효과가 있으며, 본선과 동일도체를 사용하면 차폐효과가 크다)
2) 통신선의 대책
복선식 통신선의 채용
통신선의 교차(전력선의 연가에 상당한다)
나선을 케이블화 한다.
통신선과 통신기기의 절연을 향상시킨다.
통신 전류의 레벨을 높이고 반송식을 이용한다.
성능이 우수한 피뢰기를 사용한다.
변류기의 사용, 절연변압기를 채용한다.
4. 안정도
1) 정태안정도(Static Stability)
송전계통이 불변부하 또는 극히 서서히 증가하는 부하에 대하여 계속적으로 송전할 수 있는 능력을 정태안정도라 하고, 안정도를 유지할 수 있는 극한의 송전전력을 정태안정 극한전력이라고 한다.
2) 과도안정도(Transient Stability)
계통에 갑자기 고장사고와 같은 급격한 외란이 발생하였을 때에도 탈조하지 않고 새로운 평형상태를 회복하여 송전을 계속할 수 있는 능력을 말하며, 이 경우 극한 전력을 과도안정도 극한전력이라 한다.
3) 동태 안정도(Dynamic Stability)
고속 자동 전압조정기로 동기기로 여자전류를 제어할 경우의 정태안정도를 특히 동태안정도라 한다.
4) 안정도에 관한 공식
· 송전전력

· 최대송전전력

· 바그너의 식

5. 안정도 향상대책

| 전력공학 - 전선로(켈빈의 법칙) (0) | 2021.10.14 |
|---|---|
| 전력공학 - 중성점 접지방식 (0) | 2021.10.13 |
| 전력공학 - 코로나 방전(Corona Discharge) (0) | 2021.10.08 |
| 전력공학 - 송배전(선로정수) (0) | 2021.10.07 |
| 회로이론 - 과도현상(R-L 직렬회로) (0) | 2021.10.06 |