
1. 전선의 구비조건
도전율이 높을 것.
기계적 강도가 클 것
내구성이 있을 것.
중량이 가벼울 것.
가요성이 클 것.
가격이 저렴할 것
2. 연선

3. 켈빈의 법칙
전선 단위 길이당의 연간 전력손실량의 가격과 전선단위 길이당의 건설비의 이자와 상각비가 같게 될 때 전선의 굵기가 가장 경제적인 전선이라는 법칙

4. 전선의 진동과 도약

전선의 도약
전선 주위에 빙설이 부착하였다가 탈락하는 반동으로 전선이 튀어 올라가 상부의 전선과 혼촉되는 경우를 도약이라 하며, 이 현상을 방지하기 위해 오프셋을 한다.
5. 전선의 이도

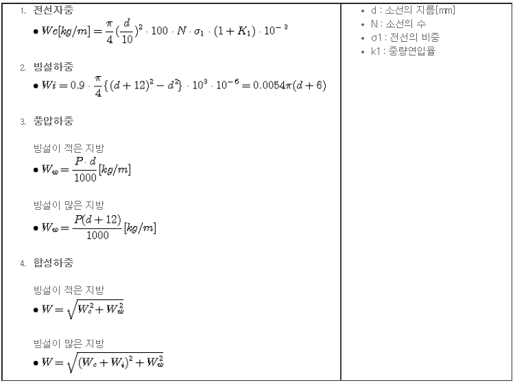
6. 전선의 하중

7. 지선

8. 애자

9. 지중전선로

| 전력공학 - 배전선로의 전기적특성(수용율,부하율,부등율) (0) | 2021.10.18 |
|---|---|
| 전력공학 - 배전방식의 종류 (0) | 2021.10.15 |
| 전력공학 - 중성점 접지방식 (0) | 2021.10.13 |
| 전력공학 - 유도장해 및 안정도 (0) | 2021.10.12 |
| 전력공학 - 코로나 방전(Corona Discharge) (0) | 2021.10.08 |