
1. 전압강하율과 전압변동율
1) 직류선로의 전압변동율
전압변동율 =

전력손실율 =

1-1) 직류 2선식
전압강하

전압강하율

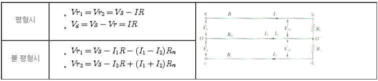
1-2) 직류 3선식

2) 교류선로의 전압변동율
2-1) 임피던스 법 : 간단한 회로에 적용

· K : 배전방식에 따른 계수
- 1φ2 w인 경우 : 2
- 1φ3 w, 3φ4w 인 경우 : 1
- 3φ3 w인 경우 : √3
2-2) 등가 저항법 : 간단한 회로에 적용
· △E = I·Re·ℓ
· Re : 등가저항( r cosθ + X sinθ)으로 전선의 굵기, 배치, 부하의 역률에 따라 결정된다.
· ℓ : 전선의 길이 m
2-3) %임피던스법 : 변압기를 포함한 복잡한 회로에 적용

· Is : 기준전류
· Ir, Ix : 부하전류의 유효분 및 무효분
2-4) 암페어미터법
전압강하의 대략 값을 알기 위해 도표를 이용하는 방법으로 1V의 전압강하에 대한 전류와 배선길이의 곱을 말한다.
· △E = K·( r cosθ + X sinθ) ·I·ℓ
· r, x : 배선의 단위길이당 저항,리액턴스(Ω/m)
2. 배전선로의 전압강하


3. 부하의 특성
1) 수용률(Demand Factor) = 최대수용전력 × 100% ÷ 총 부하설비용량
어떤 기간중 수요자의 최대전력(최대부하)의 설비용량에 대한 백분율로서 수요율은 보통 100% 이하이며 기간은 1년에 대하여 측정한다.
설비용량에 대해 수용율을 적용하여 배전선, 차단기 등을 가능한 낮게 적용하고 동력의 경우 주요 운전시간대 동시 사용시간대 등을 조사하여 운전조건에 따라 수용율을 감안한다.
건물별 수용률(1년에 대하여 측정한다)
비상용의 경우 수용율은 100%로 한다.
< 표.1 건축물의 종류별 수용률 >

< 표.2 전등부하 수용률 >

< 표.3 동력부하 수용률 >

2) 부하율 = 부하의 평균전력(시간평균) / 최대수용전력(시간평균) = (부하의 평균전력(시간평균) / 수용설비용량의 합) × (부등율 / 수용율)
3) 부등률 = 부하 각개의 최대수요전력의 합계×100 %÷ 각 부하를 종합한 최대수요전력 = 수용설비용량의 합 × 수용율 / 부등율
· 한 개의 변압기의 개개 부하에 걸리는 각 부하는 부하특성에 따라 최대수용전력이 되는 시간이 다르게 되므로 부등율을 적용한다.
· 하나의 계통에 속하는 수용가 상호간, 배전변압기 상호간 및 급전선 상호간 등 같은 종류의 수요를 군으로 한 경우 각개의 최대수요전력은 동시간에 발생하는 일이 없고 그 발생에는 시간적인 차이가 있다. 따라서 각부하의 최대수요전력의 합계는 수요를 군으로 합성할 때의 최대수요전력보다 크다.
· 산출된 부하 각개의 최대수요 전력으로부터 부등률을 고려하여 뱅크마다 최대수요전력을 산출한다.
· 부등율이 클수록 설비 이용도가 크다.
· 부하단에서 수전단으로 갈수록 부등율이 커진다.
· 동력부하간의 부등율은 다른 부하의 부등율보다 크다.
< 표.4 부등률의 값 >

4) 설비이용율
평균발전 또는 수전전력 × 100%/ 발전소 또는 변전소의 설비용량
5) 전일효율
1일중의 공급전력량 × 100% / (1일중의 공급전력량 + 1일중의 손실전력량)
4. 전력손실
1) 손실계수

단. T : 일정기간, Im : 일정기간중의 최대전류
2) 부하율

3) 손실계수와 부하율과의 관계
1 ≥ F ≥ H ≥ F² ≥ 0
4) F와 H와의 근사적 관계
H = αF +(1-α)F², α : 정수로서 보통 0.2~0.5
| 고압케이블의 구조 / 허용곡률반경 / 포설장력 / 허용측압 / 반도전층 박리순서 (0) | 2021.10.21 |
|---|---|
| 불평형 부하의 제한(설비불평형률) (0) | 2021.10.20 |
| 전력공학 - 배전방식의 종류 (0) | 2021.10.15 |
| 전력공학 - 전선로(켈빈의 법칙) (0) | 2021.10.14 |
| 전력공학 - 중성점 접지방식 (0) | 2021.10.13 |