
Inductor는 도체 주변 자기장내에 E를 저장하는 소자로써 전원공급기, 변압기, 라디오, TV, 레이더 등 각종 전기 시스템에 널리 사용 됩니다.
전류가 흐르는 도체는 대부분 Inductor의 성분이 있으며, Inductor로써 작동할 수 있습니다.
Inductor는 다음과 같이 도체선이 칭칭 감긴 코일 형태로, 기호는 코일의 모습을 쉽게 그린것과 같습니다.


※ 패러데이 법칙와 렌츠의 법칙
1820년 외르스테드가 배터리에서 나오는 전류를 개폐하면 근처의 나침반이 움직이는 것을 학계에 소개하였습니다.
신비한 현상으로 여겨졌던 자기장이 전기(정확히는 배터리에서 나오는 전류)로부터 생성되는 것이 분명해진 것이죠.
즉, 전기로부터 자기가 생길 수 있다는 것인데 이런 현상을 거꾸로 심각하게 고민한 사람이 패러데이입니다.
전기로부터 자기가 생길 수 있으면 거꾸로 자기로부터 전기가 생길 수 있지 않을까?
만약 자기로부터 전기를 만들 수 있다면 배터리 없이 전기를 만들 수 있는 새로운 방법이 생기지 않을까?
패러데이의 고민은 1820년 이후로도 지속되었고, 패러데이는 발전 실험에 성공할 때까지 12년 동안 거의 매일 고민하며 실험했다고 알려집니다.
1831년 마이클 패러데이는 이 실험에 성공하게 됩니다.

최초로 배터리 없이 전기를 만들어 낸 것입니다.
이 실험을 더욱 발전시켜 패러데이는 자기로부터 전기가 만들어지는 원리인 전자기 유도 법칙을 명확하게 이해하게 됩니다.
패러데이는 전자기 유도 현상을 설명하기 위해 유도력선(line of inductive force)개념을 도입했습니다.
이 유도력선 개념을 발전시켜 패러데이는 "자기력은 자기장이 전달되어 생긴다"는 주장을 하게 됩니다.
패러데이는 이어서 "전기장과 자기장은 전기력과 자기력을 전달할 수 있는 범위이며 전자기장은 실재한다"고 주장합니다.
수학을 잘 모르면서 실험만 했던 물리학자 패러데이가 만든 수학적으로 표현되지 않은 전자기장 개념을 당대의 유명한 물리학자들까지 무시했지만, 젊은 물리학자인 맥스웰은 다르게 생각했습니다.
맥스웰은 고민하고 있던 전기와 자기 현상의 통합 문제를 패러데이의 전자장 개념이 해결할 수 있다고 믿었습니다.
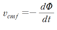
드디어 패러데이의 상상을 기반으로 1861년 맥스웰은 전자기 유도 현상을 깔끔한 수학 공식으로 표현할 수 있었습니다.

여기서 Vemf는 기전력(Electromotive Force)을 나타내는 전압의 일종이며, Φ는 자속(Magnetic Flux-자기장을 나타내는 자기력선의 다발이라고 생각하면 됨)입니다.
위의 식에서 (-) 부호를 사용한 것은 렌츠의 법칙(Lentz's law)이라 합니다.
이 법칙은 렌츠(Heinrich Lenz)가 발견한 것으로 기전력(Electromotive Force)은 항상 자속(Magnetic Flux)을 감소시키는 방향으로 생긴다는 것을 뜻합니다.
렌츠의 법칙이 없다면 이 세상은 오래전에 폭발했을 것입니다.
기전력(Electromotive Force)이 자속(Magnetic Flux)을 증가시키는 방향으로 생긴다고 상상해봅시다.
자속(Magnetic Flux)이 조금이라도 증가하면 기전력(Electromotive Force)이 자속(Magnetic Flux)을 다시 증가시키는 feedback이 이루어진다는 의미이므로 기전력(Electromotive Force)은 끝도 없이 증가해야 합니다.
즉, 에너지가 무한정 나와야 한다는 의미이기에, 에너지 보존법칙(conservation of energy)을 위배합니다.
따라서, 렌츠의 법칙이 반드시 성립해야 한다.
위의 식이 의미하는 것을 다시 보면, 자속의 시간적 변화를 감소시키는 방향으로 전압이 발생한다는 것입니다.
즉, 기전력(전기를 만드는 원천 or 도선에 전류를 흘릴 수 있는 원천)은 자속의 이전 특성을 그대로 유지하려는 방향으로 발생한다는 것입니다.
자속이 줄어들려 하면 자속을 늘이는 방향으로 기전력이 생기고 자속이 늘어나려 하면 자속을 줄이는 방향으로 기전력이 생깁니다.
즉, 패러데이 법칙에 의해 도선에 유도되는 기전력은 그 속을 통과하는 자기력선 수가 변할 때나 도선이 자기력선을 끊고 지나갈 때 나타납니다.
그렇다면, 다음과 같은 코일에서 유도기전력 e는 어떻게 구할 수 있을까?

N번 감긴 코일에 유도되는 자속을 Φ라고 하면, 발생하는 유도기전력 e는 감긴수 N에 비례하고, 자속의 시간에 따른 변화율 dΦ/dt 에 비례하게 됩니다.
e = N ⋅ dΦ/dt
이 때, 자속 Φ는 코일에 흐르는 전류 i에 비례합니다. 따라서 유도전압 e는 전류의 시간에 따른 변화율에 비례함을 알 수 있고, 다음과 같이 쓸 수 있습니다.
e = L ⋅ di/dt
이때 L을 코일의 Self-inductance (자기인덕턴스)라고 하며 단위는 H (헨리)로 나타냅니다.
(보통 우리가 일컫는 Inductance는 이 Self-inductance를 의미합니다.)
결국 다음과 같이 나타낼 수도 있겠습니다.
V = L ⋅ di/dt
이번에는 철심이 중심에 포함된 코일의 Inductance와 중심에 아무것도 포함되지 않은 코일의 Inductance가 차이나는 이유를 기술 하겠습니다.
투자율 (Permeability)은 물질의 자기적인 특성을 나타내는 단위로 자기장 내에서 물질이 자화되는 정도를 나타냅니다.
바꿔말해, 이 Permeability가 높다는 것은 물질내에 자속밀도가 높다는 말입니다.
납, 구리 ,아연등은 공기보다 Permeability가 낮아서 반자성체라고 하며, 알루미늄, 주석등은 공기보다 Permeability가 높아서 상자성체라고 합니다.
철, 니켈, 코발트등은 Permeability가 너무 커서, 외부에서 자기장이 인가되면 자화되고 자기장을 제거해도 자석의 성질이 남아있는 물질로 강자성체라고 합니다.
철심이 포함된 Inductor의 경우, 철의 Permeability가 공기보다 높기 때문에 더 많은 자속이 통과할 수 있으며 따라서 더 높은 값의 Inductance를 구현할 수 있습니다.
Inductor의 Inductance 값 L에 영향을 주는 변수로는 4가지가 있습니다.
코일 도선의 감은 수 : 많이 감을수록, Inductance가 커짐
도선의 면적 : 도선의 단면적이 클수록, Inductance가 커짐
코일 내 Core의 포함 여부 : 코일이 철심에 감긴 경우, Inductance값은 커짐
도선의 배열 방식 : 도선이 얇고 긴 경우보다, 짧고 두꺼운 경우 Inductance가 큼
※ 전자기 유도법칙을 이용한 무선 충전 원리
최근 삼성전자가 내놓은 최신 스마트폰에는 무선충전방식이 채택되고있습니다.
이 무선충전방식에도 전자기유도법칙이 사용된다는 사실 알고계셨습니까?
무선충전장치는 충전패드에 스마트폰을 올려놓아서 충전이 되도록 하는데, 충전패드와 스마트폰에는 각각 코일이 내장되어 있습니다.
충전패드에 전류를 흐르게 하면 충전패드에 내장된 코일이 일종의 전자석이 되어 자기장을 형성하며, 그 자기장 내에 올려진 스마트폰의 코일에는 전기장이 유도되어 전류가 생성되는 것입니다.
즉, 다음과 같이 정리할 수 있습니다.

1. 충전대 안에 있는 송신 코일이 신호를 보냅니다.
2. 이 신호가 호환되는 스마트폰에 있는 것과 같은 수신 코일을 찾습니다.
3. 수신 코일을 감지하면 전자기 유도가 시작됩니다.
4. 송신 코일 내부에 있는 전자(전기)들이 코일 주변을 흐르기 시작합니다.
5. 이로 인해 자기장이 발생되고, 이 자기장을 수신 코일 내의 전자들이 감지합니다.
6. 수신 코일 안에 갇힌 전자들이 자기장으로 인해 코일 주위로 흐르기 시작합니다.
7. 수신 코일 안에서 이루어지는 이 전자의 흐름이 스마트폰에 있는 배터리를 충전해주는 전기입니다.
사실, 이 전자기유도기술이 그렇게 오래 전에 개발되었는데 왜 그 동안 별로 사용되지 않았던 것일까요?
이미, 전자기유도법칙은 아주 광범위 하게 사용되고 있습니다.
단지 스마트폰처럼 크게 이슈과 되지 못했던것 뿐이며, 스마트폰과 같은 전자제품에 그 동안 사용되지 않은 이유는 효율성과 기술적 문제점을 있었기 때문입니다.
스마트폰이 나오기 전에는 핸드폰을 한번 충전하고나면 최대 일주일까지 사용할 수 있었기 때문에 수시로 충전을 할 필요성이 없었던 점도 있습니다.
무선충전이 필요하게 된 이유는 현대인들의 스마트폰의 배터리소모가 너무 심하여 충전횟수가 잦아졌기 때문입니다.
그리고 무선충전을 위해서는 핸드폰에도 유도코일이 구비되어야 하는데, 그렇게 되면 비용이 증가하고 핸드폰도 커지게 되는 문제가 있는 것입니다.
최근 들어 필요성도 커지고 기술적으로 어느 정도 문제가 해결되었기 때문에, 스마트폰에 적용되는 것이라고 할 수 있습니다.
또 이런 전자기유도방식이 사용된 것에는 교통카드가 있습니다.

교통카드에 코일이 내장되고 리더기에는 무선충전패드와 같이 전류가 흐르면 자기장을 형성하는 코일이 내장되어 있습니다.
그리하여 카드를 가져다 대면 카드에 내장되어 있는 코일에서 전기장이 유도되면서 전류가 만들어 지고, 이 전류를 이용하여 교통비가 결제되는 것입니다.
| 용량별 배선용차단기 산정방법 (0) | 2020.11.17 |
|---|---|
| 캐퍼시터(Capacitor)의 정의 (0) | 2020.11.12 |
| Semiconductor(반도체)의 정의 (0) | 2020.11.10 |
| 교류회로 (Alternating Current Circuit)의 해석 (0) | 2020.11.09 |
| 직류회로(Direct Current)의 해석 (0) | 2020.11.06 |