
실제 사용되는 회로는 대부분 직,병렬이 통합된 형태를 띕니다.
그래서 합성저항을 이용해서 해석하는 방법을 적어뒀지만, 사실 이 방법으로도 해석하기 힘든 회로들이 대부분입니다.
그렇다면, 어떠한 방법으로 이러한 복잡한 회로들을 해석할까요?
이 포스팅에서 설명할 해석법들은 물리학에 기초를 내리고 있으며, 키르히호프의 법칙, 중첩의 원리, 등가회로 등의 방법이 있습니다.
각각의 방법은 장단점이 있으므로, 상황에 따라 다른 방법으로 접근하는 유연성을 길러야 할 것입니다.
1. 키르히호프의 법칙 (KCL / KVL)
키르히호프의 법칙 (Kirchhoff's Law)은 구스타프 키르히호프에 의해 정리된 회로에서의 전하량과 에너지보존에 관한 법칙입니다.

키르히호프의 법칙에는 2 가지가 있는데, 전류법칙과 전압법칙으로 나뉩니다.
키르히호프의 제 1 법칙 : 전류법칙 (KCL)
Kirchhoff's Current Law
키르히호프의 제 2 법칙 : 전압법칙 (KVL)
Kirchhoff's Voltage Law
KCL은 키르히호프의 접점 법칙 (Kirchhoff's Junction Law)
이라고도 하며, 이를 이용한 회로해석법을 Nodal analysis라 합니다.
KVL은 키르히호프의 루프 법칙 (Kirchhoff's Loop Law)이라고도 하며, 이를 이용한 회로해석법을 Mesh analysis라 합니다.
⑴ 키르히호프의 전류법칙 (KCL)
결론부터 말하자면, 이 법칙은 '회로 내 임의의 한 접점에 들어오고 나간 전류의 합은 0이다'로 정의 됩니다.
회로내 임의의 한 점에서 전류의 흐름을 생각한다면 이 점으로 들어온 전류의 양과 나간 전류의 양의 항상 같게 될겁니다.
쉽게 생각해서 전류가 수로를 흘러가는 물의 흐름이라면,
수로의 어느 한 부분으로 들어온 물의 양과 나가는 물의 양이 같은것이라 생각할 수 있습니다.

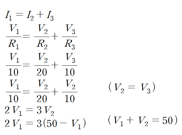
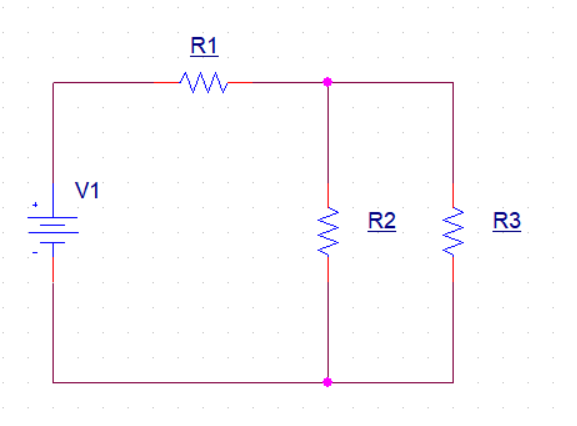
전류의 I_1가 흘러 접점을 지나 I_2와 I_3로 흐른다면, 접점으로 들어온 전류는 접점에서 나가는 전류가 같게 되겠죠?
이 전류의 흐름을 식으로 나타내면 다음과 같습니다.
I1 = I2 + I3
I1 - I2 - I3 = 0
이제 KCL을 이용하여 회로를 해석해봅시다.
회로해석은 접점을 찾는 것부터 시작합니다.
특히, KCL을 이용할 경우에는 세 개 이상의 Branch가 연결된 접점을 찾아야하는데,
이는 두개의 Branch로는 회로해석에 필요한 식을 만들 수 없기 때문입니다.

위의 회로에서 KCL을 쓸 수 있는 접점은 어디 있을까요?
분홍색으로 표시된 접점이 Branch가 3개가 연결된 KCL을 쓸 수 있는 접점입니다.
이 접점을 찾았다면, 각 접점별로 식을 세운 후, 연립방정식을 만들어 해석하는 것이 KCL의 핵심입니다.

여기까지 유도했다면, 그 이후는 옴의 법칙으로 모든 값을 구 할 수 있을겁니다.
이와 같이 KCL을 이용하여 회로를 해석하는 방법을 Nodal analysis라고 합니다.
⑵ 키르히호프의 전압법칙 (KVL)
이 법칙은 '하나의 Closed circuit(전류가 흐를 수 있도록 단선 된 부분이 없는 회로) 에서 인가전압과 강하전압의 합은 0이다'로 설명이 가능합니다.
전압은 단위전하가 가지고 있는 에너지입니다.
즉, 회로에 전압이 인가 되었다는 것은 에너지가 가해졌다는 소리임과 동시에, 이 에너지는 회로내에서 강하됩니다.
이들의 합이 0 이라는것은 결국 인가전압과 강하전압이 같다는 의미입니다.
Closed circuit에 대해 처음 언급 했는데, 이 회로를 다른 말로 하면 Mesh라고 합니다.
따라서, KVL을 Mesh analysis라고도 합니다.

이 Closed circuit에 표시된 Loop는 전압의 방정식을 구하기위해 방향성을 갖도록 설정한 것입니다.
일반적으로 전원을 기준으로 전류의 흐름에 맞춰 '음극'에서 '양극'으로 Loop를 설정하지만 상황에 따라 다른 방향으로 설정해도 무관합니다.
설정된 Loop에 맞춰 수식으로 나타내면
Vt = V1 + V2 + V3
좌변은 인가전압이고, 우변은 각 저항에서 강하전압의 합입니다.
다만, 이렇게 Loop를 설정하여 방정식을 세울 때, 각 인가전압의 극성과 강하전압의 극성에 주의해야합니다.
우선 전원과 각 저항에 극성을 표시한 후, Loop를 설정하고 Loop의 방향대로 각 전압의 극성에 따라 인가전압과 강하전압을 수식화합니다.
예를 들어, 전압원의 양극 중 Loop의 방향에서 전압원과 처음 만나는 극은 'ㅡ'극 이므로, 'ㅡVt'를 먼저 써줍니다.
그 후, R1을 만났을 때 처음 만나는 극은 '+'이므로 '+V1'을 써줍니다.
이와 같이 KVL에서는 극에 신경을 써줘야만 합니다.
이번에는 Loop를 두개로 설정해보겠습니다.

Loop A 방향으로 흐르는 전류를 I_A로, Loop B 방향으로 흐르는 전류를 I_B로 생각하고 KVL 수식을 써보겠습니다.
Loop A 기준

(R2에 흐르는 전류는 Loop A와 Loop B가 모두 포함되므로, 두 전류의 값을 더하되, 방향이 서로 반대이므로)
Loop B 기준

(R2에 흐르는 전류는 Loop A와 Loop B가 모두 포함되므로, 두 전류의 값을 더하되, 방향이 서로 반대이므로)
이 두 식으로 연립방정식 형태로 회로해석을 할 수 있겠습니다.
결국 KVL을 사용한 이 결과와 KCL을 사용한 결과가 동일함을 결국 알게 될겁니다.
따라서, 어떤 방식을 사용해도 상관없으니 회로의 모양에 따라 더 쉬워보이는 방식을 채용해서 해석을 하시면 되겠습니다.
⑶ 중첩의 원리 (Principle of superposition)
이 해석법의 경우, 다수의 전원이 있어서 KCL이나 KVL로 접근하기 어려운 경우 쓰는 방법 입니다.
중첩의 원리는 한 마디로 '복수의 전원이 존재할 때, 각 전원의 영향을 각각 고려하여 회로를 해석한다'라고 할 수 있습니다.
이 중첩의 원리를 적용하려면 회로가 Linearity(선형성)과 Bilateralness(양방향성)의 특징을 가져야만 합니다.
이름도 어려운 이 두 특징은 어떤걸 말하는걸까요?
Linearity는 전류가 인가전압에 대해 비례해야만 한다는 것입니다.
사실, 이 Linearity는 회로에서만이 아니라 통신에서도 중요한 화두가 되는 주제입니다.
예를 들어 저항이 일정한 회로에서 전압이 2배가 되었다면 전류도 2배가 되어 전류는 전압에 비례합니다.
선형회로는 수학적으로 다루기 쉬우므로 회로의 조립이나 해석은 쉽지만,
실제의 전기회로에서는 회로소자가 반드시 선형만은 아니어서 조건에 따라 수정이 필요한 경우가 많습니다.
Bilateralness는 전류가 전압의 극성이 바뀌더라도 총량은 동일하다는 것을 의미합니다.
트랜지스터와 다이오드 같은 소자의 경우, 방향이 달라짐에 따라 작동이 다르게 되기 때문에, 양방향성이 없다고 볼 수 있겠습니다.
복수의 전원 중 하나의 전원만 회로에 미치는 영향을 해석하려면 나머지 전원은 아예 출력이 없는 상태라고 이해해야합니다.
전원에는 전압원과 전류원이 있습니다.
우리가 실제 사용하는 전원은 모두 전압원이라 생각하면 되고, 전압원이 회로에는 존재하지만 전압을 출력하지 않는 상태라면 Short Circuit(단락회로)라고 생각 할 수 있습니다.
왜 Short circuit이라고 생각 할 수 있을까요?

위 회로를 보면 하나의 전압원과 저항이 연결되어 있습니다.
전압원의 역할은 저항에 전압을 인가하는것인데, 만일 이 회로에서 전압원 내부에 저항이 존재한다면 회로에 인가되는 전압의 일부는 전압원에도 인가될 것입니다.
이상적인 전압원이라고 가정할 때, 전압원의 내부저항은 0Ω이 되어야 모든 전압을 부하에 인가할 수 있습니다.
만일 이 회로에서 전압원을 내부저항만으로 나타낸다면, 오른쪽과 같이 변경할 수 있겠습니다.
즉,전압원이 회로에 전압을 인가하지 않는다면 전압원은 Short circuit으로 가정해야 하는것입니다.
전압원은 실제로 우리가 사용하는 전원이지만, 회로 해석을 위해 전류원이라는 가상의 전원을 고려하기도 합니다.
다시 말해서, 전류원이란 회로에 일정 전류가 흐르도록 전압과는 무관하게 설정된 가상의 전원을 말합니다.
전류원은 전류를 회로에 공급해야 하는데, 공급하는 전류가 모두 전항에 전달되려면 내부저항이 ∞Ω이어야 합니다.
만일, 전류원의 내부저항이 ∞Ω이 아니라면 옴의 법칙에 의해 전류는 저항에 모두 공급되지 않고 전류원 내부에 남아있게 될것입니다.
즉, 전류원이 전원을 공급하지 않는다면 전류원은 Open circuit(개방회로)로 생각해야 합니다.

이제, 예제를 가지고 중첩의 원리를 배워보겠습니다.
먼저 복수의 전원이 존재하는 회로에서 하나의 전원만 남겨놓고 다른 전원을 제거합니다
그리고 이 과정을 모든 전원에 대해 반복한 뒤 각 요소의 전압과 전류를 합하여 회로를 해석합니다.
즉, 요소에서 강하되는 전압이나 흐르는 전류는 각 전원의 영향의 합이 된다는 점을 이용하여 해석하는 방법입니다.

이렇게 전류원, 전압원에 대해 회로를 변경한 뒤, 각각의 회로에서 구한 전압, 전류를 중첩시켜서 회로의 전류, 전압을 구합니다.
⑷ 등가회로 (Equivalent Circuit)
등가회로 해석법은 역할은 동일하지만 구성을 단순하게 바꾼 회로를 의미합니다.
복잡한 회로를 단순화하면 결국 하나의 전원과 하나의 저항으로 나타낼 수 있는데,
이러한 과정을 Thevenin's Theorem (테브난 정리)라 하고 이 회로를 Thevenin's Equivalent circuit (테브난 등가회로)라고 합니다.
또한, 복잡한 회로를 단순화할 때, 전압원이 아닌 전류원에 대해서도 단순화할 수 있는데,
이를 Norton's Theorem (노턴 정리)라 하고 이 회로를 Norton's Equivalent circuit (노턴 등가회로)라고 합니다.
그럼, 테브난 정리에 대해서 먼저 공부해봅시다.
테브난 정리를 이용하면 하나의 등가전압원과 등가저항으로 단순화 할 수 있습니다.
예를 들어, 전원회로의 경우 내부에는 여러 가지 소자와 부품이 연결되어 있으나 이를 하나의 전압원과 저항으로 이루어진 회로로 단순화할 수 있습니다.

<테브난 등가회로의 기본형>
다음 예제를 통해 테브난 등가회로 변환을 풀어보겠습니다.
R3에 인가되는 전압을 구해봅시다.

① 회로에 연결된 부하 R3를 제거합니다.

② a,b단의 전압을 계산합니다.
(이 전압이 테브난 등가전압이 될 것입니다.)
③ 전원을 모두 이상적인 내부저항으로 설정합니다.

④ a,b단의 저항을 계산합니다,
(이 저항이 테브난 등가저항이 될 것입니다.)
⑤ 테브난 등가전압원과 테브난 등가저항을 직렬로 연결하여 등가회로를 완성하고,
앞서 제거 했던 R3를 추가한 뒤 단순화된 회로를 통해 R3에 인가되는 전압을 계산합니다.

이번에는 노턴정리입니다.
노턴정리는 전압원이 아닌 전류원을 기준으로 회로를 단순화하는 방법입니다.
노턴등가회로는 하나의 노턴 전류원과 하나의 노턴 등가저항이 병렬로 연결된 형태입니다.

왼쪽과 같이 전압원이 포함된 회로는 오른쪽의 전류원과 명렬로 연결된 저항으로 나타낼 수 있다는 것을 인지하고 계셔야 합니다.
이렇게 전류원으로 표현하는 이유는, 부하에 공급하는 전류를 기준으로 회를 나타내거나 해석할 때 편리하기 때문입니다.
저항에 의한 전류의 분배는 Conductance 개념으로 생각하는 것이 편하기 때문에, 저항대신 Conductance로 바꿔서 생각하기도 합니다.
노턴정리는 테브난정리와는 다르게 부하의 양단을 Short (단락)한 후 이 Branch에 흐르는 전류를 구해야합니다.
다음 예제를 통해 노턴 등가회로 변환을 풀어보겠습니다.

① 회로에 연결된 부하 R3를 제거합니다. (테브난과 동일)

② a,b단을 Short(단락)하고 Branch에 흐르는 전류를 계산합니다.
이는 R2 저항 양단이 Short(단락)되는 것과 같으므로 전류는 R1에만 흐르고, R2에는 흐르지 않게 됩니다.
(이 전압이 노턴 등가전류가 될 것입니다.)

③ 전원을 모두 이상적인 내부저항으로 설정합니다.
(테브난과 동일)

④ a,b단의 저항을 계산합니다.
즉, R1과 R2의 병렬 합성저항입니다.(테브난과 동일)
(이 저항이 노턴 등가저항이 될 것입니다.)
⑤ 노턴 등가전류원과 노턴 등가저항을 병렬로 연결하여 등가회로를 완성하고,
앞서 제거 했던 R3를 추가한 뒤 단순화된 회로를 통해 R3에 인가되는 전압을 계산합니다.

※테브난과 노턴의 상호변환
노턴정리는 테브난정리를 전류에 대한 개념으로 확장한 것이라 볼 수 있습니다.
사실, 두 정리중 어느 정리를 이용하든 결과는 같음을 알 수 있었지만, 중간에 단락부분에서 서 차이점이 있었습니다.
그런데, 이 두 다른 회로는 서로 변환할 수 있습니다.
각각의 등가저항을 구하는 방법은 같고, 등가회로가 전압을 공급하느냐, 전류를 공급하느냐의 차이만 있으므로 간단한 계산을 통해 가능합니다.
테브난 등가전압 Vth, 테브난 등가저항 Rth, 노턴 등가전류 In, 노턴 등가저항 Rn이라 할 때 다음의 관계를 갖습니다.

노턴정리는 테브난정리를 전류를 기준으로 확장한 개념이기 때문에 가능한 일입니다.
KVL, KCL과 중첩의 원리를 이용한 해석이 회로를 변환시키지 않고 전체적인 전압과 전류의 상태를 구하는 방법이라면,
테브난과 노턴정리는 회로를 단순화하고 해석이 필요한 특정 부분을 기준으로 해석할 때 유용하게 사용됩니다.
| Semiconductor(반도체)의 정의 (0) | 2020.11.10 |
|---|---|
| 교류회로 (Alternating Current Circuit)의 해석 (0) | 2020.11.09 |
| 교류전기(AC)의 순시치/실효치/평균치/최대치 (0) | 2020.11.05 |
| 전기전자 공학단위 정리 (0) | 2020.11.04 |
| 검출스위치 및 수동스위치의 종류 (0) | 2020.10.28 |