
기초적인 물리량의 종류로는 전하 (Charge), 전류 (Current), 전압 (Voltage), 전력 (Power), 저항(Resistor)이 있습니다.
1. Charge (전하) - 단위 : C 쿨롱
전기를 띤 알갱이를 Charge라고 하며,
양(+)전하에는 반도체 속의 Hole (정공)과 양이온이 있으며, 음(-)전하에는 전자와 음이온이 있죠.

<그림1>
참고로 전자 1개의 전하량은 1.6 x 10⁻¹⁹ C입니다.
- 그렇다면 왜 굳이 전자 1개의 전하량을 1 C로 정의하지 않았을까요?
: C 단위를 정의할 당시엔 전자의 전하량을 잴 수 있는 기술이 없었습니다.
그래서 오랜시간전에 정한 정의로 현대에 이르러서까지 쓰고있는겁니다.
또한, 만약 전자 1개의 전하량이 1 C이었다면, 전자공학에서 다루는 전자의 갯수가 엄청 많기때문에 다루어야 하는 숫자또한 천문학적으로 커졌을 것이랍니다.
일반적으로 전하량은 문자 Q를 사용합니다.
(전자공학에서는 전기적인 물리량을 나타내는 변수를 대문자 혹은 소문자로 표현합니다.)

<그림2>
쿨롱은 프랑스의 물리학자 샤를 드 쿨롱의 이름 따서 SI국제단위계에서 정한 단위입니다.
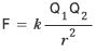
쿨롱은 전기력이 거리 제곱에 반비례하고 전기량의 제곱에 비례한다는 ‘쿨롱의 법칙’을 정의했습니다.

<그림3>
이 식에서 Q는 전하량을 나타내고, r은 전하 사이의 거리를 나타내면 k는 비례상수입니다.
만약 Q1과 Q2가 쿨롱(C)의 단위로 측정한 전기량을 나타내고, r이 전하 사이의 거리를 m 단위로 측정한 양이면, 비례상수 k의 크기는 약 90억 (좀 더 정확하게는 8.98x109) N·m2/C2 입니다.
따라서 1 쿨롱의 전하를 가진 물체가 1 m 떨어져 있을 때 전하 사이에 작용하는 전기력은 약 90억 N(뉴턴)이 됩니다.
그러나 거리가 10cm로 줄어들면 힘의 크기는 100배가 커져서 9000억 N이 됩니다.
그렇다면, 이 쿨롱의 법칙이 왜 중요할까요?
자연에는 네 가지 힘이 존재합니다. 중력과 전자기력, 그리고 강한 상호작용(강력)과 약한 상호작용(약력)이 그것이죠.
이 중에서 강한 상호작용과 약한 상호작용은 원자핵 속과 같이 아주 짧은 거리에서만 작용하는 힘이어서 우리 주위에서 일어나고 있는 자연현상과 직접적으로는 관계가 없습니다.
중력은 전기력에 비하면 아주 약한 힘이지만 전기력과는 달리 항상 인력으로만 작용해서 많은 질량이 모이면 큰 힘이 됩니다.
원자나 분자로 이루어진 물체는 전자들의 이동으로 쉽게 전하를 띨 수 있기 때문에 전기력이 중요한 역할을 하게 됩니다.
원자핵과 전자의 결합으로 원자가 만들어지는 과정, 원자들이 결합하여 분자를 형성하는 과정, 그리고 분자들이 모여 물체를 형성하는 과정에는 모두 전기력이 중요한 역할을 합니다.
물체 사이에 작용하는 마찰력 역시 전기력에 의한 것이죠.
따라서 이러한 현상들을 제대로 이해하기 위해서는 전하 사이에 작용하는 전기력이 어떻게 작용하는지 알아야 합니다.
“정전기를 가진 두 물체 사이에 작용하는 서로 끌거나 밀거나 하는 힘의 크기(전기력)은 각각이 가진 정전기의 양(전하량)에 비례하고, 둘 사이 거리의 제곱에 비례한다.” 이 법칙은 전기기학 발달의 기초가 되었습니다.
또한 쿨롱의 법칙은 전기장뿐 아니라 자기장에서도 적용돼 ‘로렌츠 힘의 법칙’을 탄생시키기도 한답니다.
2. Current (전류) - 단위 : A 암페어
Charge의 흐름을 Current라고 하며, Charge가 이동하기만 하면 Current는 흐르지만 Current의 양을 표현하기 위해선 시간의 개념이 들어가야 합니다.
즉, Current는 '일정 시간동안' '얼마나 많은' 전하들이 이동했는지를 말하는 것이죠. (시간에 대한 전하량의 변화율)
Current를 수학적으로 표현하면 다음과 같습니다 .

<그림4>
따라서 많은 양의 전하가 빠른 속도로 움직일수록, 큰 전류가 흐른다고 말할수 있습니다.
전류의 단위는 전하량의 단위인 쿨롱[C]을 분자고, 시간의 단위인 [sec]을 분모로 하여 [C/sec가 되며, 간단히 암페어 [A]라고 합니다.
단위 면적에 대해 1초동안 1C의 전하량이 통과하면 1A의 전류가 됩니다.
이를 달리 말하면, 특정시점 t에서의 전하량 q(t)는 t 시점까지 흐른 전류를 모두 모은것입니다. 수학적으로 표현하면 다음과 같습니다.

즉, q(t)와 i(t)가 일정한 값이라면

로 표현할수 있습니다.

<그림5>

<그림6>
그리고, 그림에서 보시다시피 전류의 방향과 양(성)자의 흐름은 동일하며, 전류의 방향과 전자가 흐르는 방향은 반대입니다.
더불어서, 직류와 교류에 대한 내용도 살짝 언급하겠습니다.
직류(DC - Direct Current)의 경우는 지속적으로 한 방향으로만 흐르면서 세기가 일정한 전류를 일컫습니다.
교류(AC - Alternating Current)의 경우는 방향이 주기적으로 바뀌면서 세기가 연속적으로 변화하는 전류를 일컫습니다.

<그림7>
3. Voltage (전압) - 단위 : V 볼트
전압은 Charge의 위치에 의한 차이, 즉 어느 특정 지점에서 Unit Charge (단위전하)의 전기적 에너지를 의미합니다.
즉, 양전하는 전위가 높은 곳에서 낮은 곳으로 이동하는데, 이 때 전하가 이동한 두 지점 사이의 전위의 차이를 전압이라고 합니다.
우리가 위치에너지에 대해 공부했듯이, 전하도 위치에 따른 에너지를 갖게 되는데 위치는 상대적인 것이기 때문에 기준위치를 정해놓고 사용합니다.
일반적으로 0V에 해당하는 전위를 기준점으로 잡고 이 를 Ground(접지)라 표현합니다.

<그림8>
전기를 주로 물에 비유하게 되는데, 전류가 단위시간당 흐르는 물의 양이라면, 전압은 물의 높이 차이라고 보면 됩니다.
낮은 곳보다 높은 곳에서 떨어지는 물이 더 많은 에너지를 갖고 있듯이, 전압(전위차)이 클수록 더 많은 전기 에너지를 갖고 있답니다.
또한 높이 차이가 없으면 물이 흐르지 않듯이 어떤 두 지점 사이의 전압이 0이라면 그 사이에는 전류가 흐르지 않습니다.
어느 지점에서 전하가 갖는 (위치) 에너지 W는 전하량 Q와 그 지점의 전압 V의 곱입니다.

에너지는 줄[J] 단위로 측정됩니다.
따라서, 어떤 지점의 전하량이 크거나 그 지점의 전압이 높을수록 해당 전하가 갖는 (위치) 에너지가 높아집니다.
결국, [V] = [J/C]가 되는것입니다.
4. Resistor (저항) - 단위 : Ω 옴
저항은 어떤 물질에 흐르는 전류의 흐름을 방해하는 성분을 말합니다.
그러므로, 저항값이 크면 전류가 흐를 수 없습니다.

<그림9>
위에서처럼 전기를 물에 비유한다면, 같은 압력으로 물이 호스를 통과한다고 할 때 두꺼운 폭의 호스보다 좁은 폭의 호스가 물이 통과하기 힘들것 입니다.
여기서 ,압력은 전압으로 볼 수 있겠고, 물의 흐름은 전류로 볼 수 있겠습니다.
즉, 좁은 호스 (저항이 큰)는 호스 끝에서 측정한 압력 (전압)이 같지만, 물의 흐름 (전류)가 작아진다고 볼 수 있습니다.
이 는 나중에 나올 옴의 법칙에 대한 내용이기에, 뒤에서 더 다루도록 하겠습니다.
5. Power (전력) - 단위 : W 와트
전력은 시간에 대한 에너지의 변화율입니다.
즉, 일정 시간동안 에너지의 소멸 또는 생성의 변화를 의미하며, 그 변화가 빠르면 전력이 큰 것으로 볼 수 있습니다.
이를 수학적으로 표현하게 되면

즉, 1초동안 1J의 일을 하면 1W가 된다고 이해하면 됩니다.
그렇다면, 이제 V와 I로 전력을 표현해봅시다.

를

에 대입해서 볼까요?

(V는 시간이 흘러도 변하지 않기 때문에 d(qv)(t)에서 v·dq(t)로 표현됩니다)
따라서, 전력은 전압과 전류의 곱인 V·I로 표현됩니다.
결국, 전력의 단위 [W] = [J/C]·[C/sec] = [J/sec]가 됨을 쉽게 알수 있답니다.
그렇다면 실생활에서 어떻게 응용이 되는지 연습해보겠습니다.
P [W] · t [sec] = W [J] = [V · I · sec]로 볼 수 있겠죠.
한국에서 쓰는 전압은 220V으로 고정이고, 우리가 쓰는 전기제품에 따라 I가 달라집니다.
예를들어, 자취방에 있는 에어컨은 6A정도를 사용하고 대형 강의실에 있는 에어컨은 15A를 사용합니다.
따라서, 같은 시간을 틀어놓더라도, 전력의 차이가 몇배의 차이가 나는것입니다.
더 나아가서, 소자가 흡수하는(소비하는) 전력 = 소자 양단의 전압 강하 X 소자에 흐르는 전류로 볼 수도 있겠습니다.
※ SI 단위계
전기 전자공학도라고 한다면, 물리량을 측정할 일이 많을것입니다.
이 때, 일정량을 기준으로 하여 주어진 양이 그 일정량의 몇 배가 되는가를 측정하게 되는데, 이 일정량을 단위 라고 합니다.
단위는 여러 양에 대해 개별적으로 규정하면 대단히 불편해질게 자명하기 때문에 기본이 되는 몇 개 단위만 기본으로 정하고, 다른 양의 단위는 물리법칙이나 그 정의에 따라 기본단위를 조합해서 유도 할 수 있습니다.
현재 국제적으로 사용하는 측정 단위계를 국제단위계 (SI 단위계)라 합니다.
전기 전자공학에서 많이 사용되는 유도단위를 정리 해드리겠습니다.

이 단위들은 일상 생활에서는 잘 사용하지 않는 미세범위 혹은 거대 범위를 사용하기 때문에, 의도적으로 눈에 익혀두어야 할 것입니다.

(표에서 색깔을 칠한 부분은 제가 전자전기공학을 공부하면서 많이 본 단위입니다.)
TV뉴스에서 반도체에 관한 기사가 나올 때면 항상 흰생 가운을 입고 마스크와 보호안경을 쓰고 무균실에서 반도체를 제작하는 영상이 나올겁니다.
이것은 제조라인의 청정도를 유지하기 위해 하는 복장인데, 청정도를 나타내는 단위로 클래스(Class)라는 단위가 있습니다.
이것은 1 입방미터 (1m3)당 10 μm 이상 크기의 먼지(particle)이 몇개냐를 나타내는 수치입니다.
또, 게이트 카운트(Gate count)라는 단위가 있습니다.
이는 뒤에서 다루겠지만, 간단히 서술하자면 다이(die)의 복잡도와 다이의 크기(면적)을 동시에 나타는 단위입니다.
| 직류회로(Direct Current)의 해석 (0) | 2020.11.06 |
|---|---|
| 교류전기(AC)의 순시치/실효치/평균치/최대치 (0) | 2020.11.05 |
| 검출스위치 및 수동스위치의 종류 (0) | 2020.10.28 |
| 진상콘덴서의 용도 및 역할 (0) | 2020.10.26 |
| 전구의 소켓크기 / TYPE (0) | 2020.10.23 |