
최초의 Capacitor는 우연히 과학자 뮈스헨브루크에 의해 발견 되었습니다.
당시에 마찰을 이용해서 전기를 발생시키는 전기 발생 실험을 하던 중, 물이 담긴 유리병에 전기 장치를 연결하면 전기가 방전되는 현상이 일어났습니다.

이는 유리병 안에 담긴 물속에 전하가 저장될 수 있음을 발견한 것입니다.
위의 특성에서 보았듯이, Capacitor는 한마디로 전하를 축적할 수 있는 능력을 지닌 전자부품이라 볼 수 있습니다.
Capacitor에는 전하를 축적할 수 있어야 하기 때문에, 도체를 사용하는데,
대전된 Capacitor와 접지를 연결하면 Capacitor에 알짜전하가 전부 사라질 때까지 전류가 흐릅니다.
실제 Capacitor는 왼쪽 그림처럼 평행한 도체 사이에 절연체(유전체)가 삽입되어 있는 구조입니다.

(오른쪽은 회로도로 나타냈을 때 기호입니다.)
두 도체는 전도성이 없는 종이와 같은 Dielectric(유전체)에 의해 양쪽으로 분리되어 있습니다.
아래 그림과 같이, 도체 양쪽에 전기신호가 인가되면 양전하(+)와 음전하(-)가 각 도체판에 모이게 됩니다.
이때 도체에 모인 양전하, 음전하 사이에는 쿨롱의 법칙(서로 부호가 다른 두 전하 사이에 전기력이 발생한다)에 의해 서로 끌어 당기는 인력이 발생하며, 이 힘으로부터 Electric Field가 발생합니다.
즉, 내부에 양전하와 음전하를 많이 저장 할 수 있는 장치라고 생각하면 됩니다.

거리 d만큼 떨어진 두 평행판 사이에 전압 V가 인가되면,
도체판 가장자리에서 발생하는 효과(Edge Effect)를 무시할 때 전기장은 E=V/d로 정의됩니다.
이는 유전체 두께를 얇게 만들수록 더 강한 전기장을 발생 시킬 수 있다는 의미와 같습니다.
Capacitor는 물이 차 있는 물탱크에 비유할 수 있습니다.
펌프(배터리)를 이용해서 물이 물탱크속에 가득 차면 이 물의 양(전하량)이 늘어나는데, 이 때 물탱크의 단면적을 Capacitance로 생각 할 수 있습니다.
만약 물탱크의 단면적이 좁고 길다면 물의 높이는 높아질 것이며 ( 높은 전압, 낮은 Capacitance )
물탱크의 단면적이 넓고 짧다면 물의 높이는 낮아질 것입니다 ( 낮은 전압, 높은 Capacitance )
※ Edge Effect
도체판 가장자리에서는 전하가 몰려 전기장이 강해지기 때문에 일반적이지 않은 특성을 지닙니다.

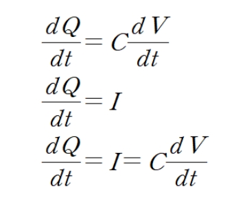
Capacitor에 저장된 전하량 Q는 두 도체의 전위차 △V에 비례합니다.
따라서, 전하량에 전압을 나누면 일정 상수 C가 나오며 이를 Capacitance로 정의합니다.
C=Q/|△V|
↔ Q=C|△V|
(큰 캐패시턴스값을 가지는 소자를 Condensor라 부르는 경향이 있습니다. 같은 의미지만 작은 C값을 사용하는 소자는 캐패시터란 용어를 주로 사용합니다.)
Capacitance는 두 도체 사이에 주어진 전위차 △V에 대해 전하를 저장하는 용량을 나타내며 단위는 [F](Farad)를 사용합니다.
그리고, Q=C|△V| 이 식에서 양변을 시간 t에 대해 미분하면

Phasor를 사용하기 좋은 미분의 관계가 생깁니다.
보통 우리가 일반적인 Capacitor라고 가정하면, 다음의 평행판 Capacitor를 떠올립니다.

두 도체판은 전도성이 없는 종이와 같은 Dielectric(절연체)에 의해 양쪽으로 분리되어 있습니다.
전원을 연결하기전에는 이 양 도체판이 중성상태(+,-)로 존재합니다.
만약에 여기서, 도체판 양쪽에 전압이 인가되면 양전하(+)와 음전하(-)가 각 도체판에 모이게 됩니다.
이 때, 도체판에 모인 양전하와 음전하 사이에는 쿨롱의 법칙(서로 부호가 반대인 두 전하 사이에는 전기력이 발생한다)에 의해 인력 F 가 발생하며, 이 인력으로부터 Electric Field E 가 발생합니다.
(Dielectric은 절연체이므로 도체판 사이로 전류가 흐르지는 않음)
이렇게 계속 Electric Field가 흐르다보면, 음전하(-)가 모인 도체판에 자유전자가 축적되어 전위차가 생기는데, 이 전위차가 전원 전압과 같아지면 충전이 종료됩니다.
만약, Capacitor 양단의 전압원이 제거된다하더라도, Capacitor는 일정시간동안 전하를 유지할 수 있습니다.
(실제로, 매우 큰 용량의 충전된 Capacitor는 임시배터리로도 작동합니다.)
거리 d 만큼 떨어진 두 도체판 사이에 전압이 인가되면,
도체판 가장자리에서 발생하는 Edge effect (가장자리 효과 - 도체판 가장자리에서는 전기장이 균일하지 않고 Non-linear 특성이 나타남)를 무시하면 Electric Field E = V/d로 정의됩니다.

쉽게 생각하면, Capacitor는 물이 차 있는 물탱크에 비유할 수 있습니다.
펌프(배터리)를 이용해 물이 물탱크 속에 가득 차면 물의 양(전하량)이 늘어나는데, 이 물탱크 단면적을 Capacitance라고 생각할 수 있습니다.
물탱크 단면적이 좁고 길다면 채워진 물의 높이는 높아질 것이며, (높은 Voltage, 낮은 Capacitance)
물탱크 단면적이 넓고 짧다면 채워진 물의 높이는 낮아질 것입니다. (낮은 Voltage, 높은 Capacitance)
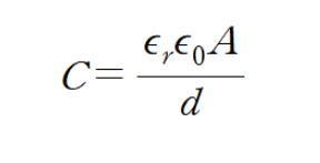
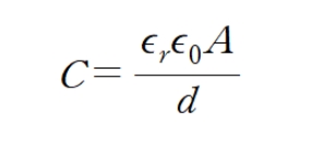
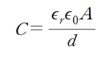
그렇다면, Capacitance에 영향을 주는 요소는 어떤게 있을까요?
두 도체판 사이의 거리 d [m]
도체판의 면적 A [m²]
유전율 ε [C/N⋅m²]
1. 두 도체판 사이의 거리의 경우는,
거리가 짧아질수록 도체판 사이의 반대 극성의 쿨롱의법칙 힘 때문에 도체판간의 전압이 감소해서 Capacitance가 감소합니다. (Electric Field E = V/d)
2. 도체판의 면적의 경우는,
극판의 면적이 클수록 전하를 축적할 수 있는 용량이 커지기때문에 Capacitance는 증가합니다.
3. 유전율은 물질에 따라 다르게 주어지며,
공기 (또는 진공)의 유전율 1을 기준으로 할 때 그에 대한 상대적인 유전율 ε을 진공 유전율 ε0로 나눈 값 ε/ε0 을 비유전율(Relative Permittivity) εr 이라합니다.
즉, 유전율은 Capacitor에 유도된 전하량이 Dielectric에 얼마나 저장될 수 있는지를 나타내는 값입니다.
식은 다음과 같이 주어집니다.

Dielectric는 물과 같이 극성을 갖는 Polar Dielectric와 메탄, 벤젠과 같이 극성을 갖지 않는 Non-polar Dielectric로 나눌 수 있습니다.
Polar Dielectric는 아래와 같이 Permanent electric dipole moment (영구 쌍극자 모멘트) 로 구성되어 있습니다.

외부 전기장이 가해지지 않았을 때는 위의 모습처럼 임의의 방향성을 갖지만,
외부전기장 E가 가해지면 아래의 모습처럼 전기장에 따라 분자들이 정렬됩니다.
그렇다면, Non-polar Dielectric의 경우를 볼까요?
Non-polar Dielectric은 아래와 같이 평소에 아무런 극성을 갖지 않지만, 외부에서 전기장이 가해지면 그때서야 electric dipole moment (전기 쌍극자 모멘트)가 유도됩니다.

※ Capacitor의 방전
왼쪽 그림처럼 전원에 Capacitor만 연결했을때, Capacitor는 Q=CV로 초기 전하량을 보유하게 됩니다.
이 때, 오른쪽 그림처럼 전원대신 저항을 연결했을 때, 전류가 Capacitor로 흐르게 됩니다.

회로에 저항이 존재할 때, Capacitor의 전하량은 다음과 같이 나타납니다.

즉, 초기 전하량은 CV이며, 지수함수적으로 감소합니다.
이 지수함수 기울기를 시상수(τ) [Time Constant]라고 명하겠습니다.

※ Capacitor의 충전
Capacitor의 충전은 아래와 같은 회로에서 이루어집니다.

외부에서 가해준 전압과 평형을 이루게 되면 축적을 멈추고 전기가 흐르지 않는 상태가 되어 충전이 완료됩니다.
이때, 전하량의 변화는

Capacitor는 시상수 τ = RC로 방전인 경우와 같은 값을 갖습니다.
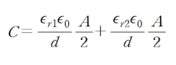
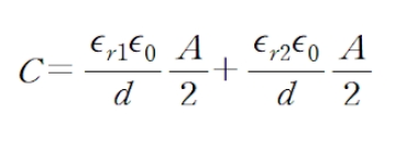
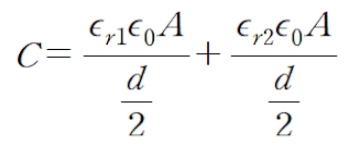
※ Dielectric의 직병렬 연결
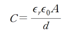
Capacitance C의 값은 위에서 알아봤듯이 다음의 식으로 주어집니다.

그렇다면, 만약 아래와 같이 유전율이 각각 다른 두 Dielectric이 직렬로 연결되었을 때,

평행판의 면적이 A/2가 되므로 다음과 같이 Capacitance를 구할 수 있습니다.

Dielectric이 병렬로 연결 되었을때는,

도체판 사이 거리가 d/2가 되므로 다음과 같이 Capacitance를 구할 수 있습니다.

※ Capacitor의 직병렬 연결
이 부분은 회로의 성질과 Capacitor의 기본 공식 (Q=CV)만 알고 있으면 쉽게 이해할 수 있겠습니다.
Capacitor가 직렬로 연결되었을때,

전체 Capacitance는

병렬로 연결 되었을때는,

전체 Capacitance는

| 동심중성선케이블(CNCV)의 종류/특징 (0) | 2020.11.18 |
|---|---|
| 용량별 배선용차단기 산정방법 (0) | 2020.11.17 |
| 인덕터(Inductor)의 정의 (0) | 2020.11.11 |
| Semiconductor(반도체)의 정의 (0) | 2020.11.10 |
| 교류회로 (Alternating Current Circuit)의 해석 (0) | 2020.11.09 |