
1. 제연의 필요성
화재안전기준 NFSC 501은 거실제연설비의 기준으로 화재실에서 연기와 열기를 직접배출하고, 배출시킨 만큼 외기를 유입(급기)하여 피난안전성 및 소화활동의 안전성을 확보하는 것이다. 시스템의 구성은 상부에 배기구를 설치하여 제연경계 하단부(Clear layer) 만큼의 연기를 배출시켜 피난 및 소화활동을 위한 공간을 조성하는 것이다.
|
구 분
|
적 용
|
제연대책
|
제연방식
|
적용장소
|
|
거실제연
|
fire area(화재실)
|
1. 적극적 대책
2. smoke venting |
급.배기방식
|
거 실
|
2. 제연설비의 설계용량
아래 그림에서와 같이 피난 및 소화활동을 위간 공간, 즉 청결층(Clear Layer)을 유지하기위해서는 연기의 발생량만큼 외부로 배출하여야 한다.

※ Hinkley 공식을 이용한 연기의 청결층 도달시간
초등학교 교실의 면적이 100㎡이고, 높이가 6m인 곳의 바닥에서 3m×3m 크기의 화재가 발생하였다고 가정할 경우, 바닥으로부터 각각 3m, 2m, 1.5m 높이까지 연기가 도달하는 시간을 Hinkley공식을 사용하여 구하시오.
(단, 연기화염의 온도는 400℃로서 연기의 밀도는 0.40㎏/㎥이고, 실내의 환기설비는 작동하지 않는다. 기타 조건은 무시한다.)
<Hinkley 공식>
제연설비의 연기 배출량은 피난 및 진입공간의 형성에 필요한 청결층이 형성되었을 때 연기 발생량 이상이 되어야 한다. 화재시 실내에서 발생되는 연기가 실 전체로 충만되는 시간에 대하여는 영국의 Hinkley에 의해 발표되었다.

· t = 연기층 하강 시간 (sec)
· A = 실 면적 100[㎡]
· g = 중력가속도(9.81m/sec2 )
· y = 연기층까지 높이 (청결층 높이)
· h = 층고 6[m]
· P = 불꽃의 둘레 (일반적으로 대형화염:12m, 중간화염:6m, 소형화염:4m)
문제의 조건에서 불의 크기가 3m × 3m이므로 3[m] × 4 = 12[m]
<풀이>
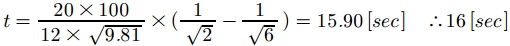
(1) 청결층의 깊이가 3m일 경우

(2) 청결층의 깊이가 2m일 경우

(3) 청결층의 깊이가 1.5m일 경우

[참고] Tomas 실험식에서 Hinkley 공식으로 유도되는 과정은 연기의 온도를 300℃(573°K)를 기준으로 하며, 이때, 연기의 밀도는 0.617[kg/m3]정도로서 문제의 조건과 다르나, Hinkley 공식을 이용하여 답을 구하도록 하였으므로 위와 같이 풀이함.
※ 청결층의 깊이가 2m일 때 연기의 배출량은 (㎥/sec) ?

3. 제연대책
1) Fire Area(화재실) 제연대책
① 화재발생 장소이므로 연기와 열기를 직접 배출시켜야 한다.
② 상부 : clear layer만큼의 연기를 배출시키기 위하여 배기를 실시한다.
③ 외부 : 외부에서의 연기침투를 방지하고 소화, 피난의 활동공간을 조정한다.
2) Escape Route(피난로) 제연대책
◦ 연기의 유입을 차단시켜야 하므로 급기가압 방식을 사용한다.
| 소방 제연설비의 설치기준 (1) | 2024.11.27 |
|---|---|
| 제연방식의 종류 / 공조 겸용 System (0) | 2024.11.26 |
| 가스계소화설비의 점검방법 (0) | 2024.11.22 |
| 이산화탄소소화설비의 점검방법 (1) | 2024.11.21 |
| 청정소화설비의 소화약제량 산출 및 농도 (0) | 2024.11.20 |