
1. 헤드의 설치기준
1) 높 이 : 높이는 최대 3.7m(12ft)이하로 한다.
2) 부식방지 : 헤드에는 부식방지 조치를 한다.
3) 오리피스 면적 : 오리피스 면적은 헤드 구경의 70%를 초과할 수 없다.
※ 높이를 규제하는 이유
소화약제를 10초 이내에 빨리 확산시켜주기 위하여 높이에 제한을 둔 것으로 3.7m을 초과할 경우는 2단으로 설치한다.(3.7m은 NFPA의 12ft를 준용한 것임)
2. 저장용기
1) 설치장소
55℃이하로 온도변화가 적은 곳에 설치하며 , 용기실 위치는 Co 2 및 Halon의 경
우와 마찬가지로 방호구역 밖에 설치해야 하나, 피난 및 조작이 용이한 피난구 부근
에 설치할 경우에는 방호구역내 설치도 인정하고 있다. 이때 저장용기를 방호구역
외에 설치한 경우에는 방화문으로 구획된 실에 설치해야 한다.
2) 충전압력
|
소 화 약 제
|
NAF S-Ⅲ
|
FM-200
|
INERGEN
|
|
충전압력(20℃)
|
2.53MPa
|
2.53MPa
|
15.3MPa
|
3) 충전비
|
소 화 약 제
|
NAF S-Ⅲ
|
FM-200
|
INERGEN
|
|
충전비MPa
|
최대 85.73
|
최대 10 9.84
|
-
|
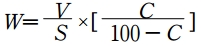
3. 소화약제량 산출
1) HCFC 등의 약제(할로겐 화합물 게열 - 무유출 개념 적용)
약제량 :

◦ W(kg) : 소화약제의 질량, V(㎥) : 방호구역의 체적
◦ S(㎥/kg) : 비체적(Specific volume) S= K 1 + K 2×T(CENTIGRADE)
◦ C(Vol%) : 설계농도, T : 방호구역의 온도(=20℃)
1-1) 공식유도
① 설계농도(C) :

◦ W(kg) : 소화약제의 질량
◦ V(㎥) : 방호구역의 체적
◦ S(㎥/kg) : 비체적(Specific volume) S= K 1 + K 2×T(℃ )
② C× (V+ W×S) = W×S×100 ⇒ CV= W×S×100- C×W×S
③

1-2) 선형상수 [K1, K2]
① 아보가드로의 법칙 : STP(0℃, 1atm)에서 1mol은 22.4ℓ 이다.
따라서 1kmol은 22.4m3
② CO 2의 STP에서 비체적 :

③ 샤를의 법칙
◦ 모든 기체 부피는 온도에 따라 증가하며 , 1℃ 증가할 때 마다 0℃ 부피의 1/273 씩 증가한다.
◦ 어느 온도에서의 비체적 S(㎥/kg) :


1-3) 할로겐계열
자유유출 없이 방사된 약제량이 존재한다는 개념이고, 비할로겐 계열은 자유유출을 고려한 것이다. 이 개념을 이해하면, 온도, 농도에 따라 가변적으로 소화약제량을 적용할 수 있다.
※ K1 및 K2를 선형 상수라 하며 아래의 표를 적용한다.
|
청정약제
|
분자량
|
K1
|
K2
|
|
N A F S-Ⅲ
|
92.9
|
0.2413(≒ 22.4/92.9)
|
0.00088(≒ 0.2413/273)
|
|
FM-200
|
170.0
|
0.1269(≒ 22.4/170)
|
0.0005(≒ 0.1269/273)
|
|
INERGEN
|
34.0
|
0.649(≒ 22.4/34)
|
0.00237(≒ 0.649/273)
|
- 이는 약제팽창시 외부로의 누설을 고려한 공차를 포함하고 있음
2) INERGEN 약제(비할로겐 계열 - 자유유출 개념)

◦ X : 공간체적당 더해진 소화약제의 부피 (m3)
◦ C : 체적에 따른 소화약제의 설계농도(Vol%)
◦ t : 방호구역의 최소예상온도(℃)
◦ Vs : 20℃에서 소화약제의 비체적(㎥/kg)
◦ S : 소화약제별 선형상수 S : (k1+k2×t)[㎥/kg]
◦ V : 방호구역의 체적(㎥)
※ CO2의 경우

◦ W : 무게로 환산(kg), C : 34% 적용
◦ t : 표면화재 30℃, 심부화재 10℃ 적용
◦ S : 온도에 따른 비체적 (k1+k2×t)[㎥/kg], V : 방호구역의 체적(㎥)
4. 청정소화약제의 농도
1) 설계농도
설계농도는 제조업체의 제시한 실험치를 적용한다. 현재 국내 생산되는 제품의 설계농도는 다음과 같다.
|
청 정 약 제
|
설 계 농 도(%)
|
|
N A F S-Ⅲ
|
8.6%
|
|
FM-200
|
7.0%
|
|
INERGEN
|
37.5%
|
2) 설계농도는 소화농도에 20%의 안전율을 더한 값으로 결정한다.
|
구 분
|
NAF S-Ⅲ
|
FM-200
|
INERGEN
|
|
|
농도
|
설계농도(최소)
|
8.6%
|
7%
|
37.5%
|
|
허용농도(최대)
|
10%
|
9%
|
43%
|
|
|
헤드압력
|
8.3(kg/㎠)
|
13.8(kg/㎠)
|
22.8(kg/㎠)
|
|
|
방사시간
|
10초
|
10초
|
60초
|
|
|
방출계수
|
0.363(kg/㎥ )
|
0 . 5498(kg/㎥)
|
0 . 4 79(kg/㎥ )
|
|
|
용기내 충전압력
|
42.3(kg/㎠)
|
25.3(kg/㎠)
|
153(kg/㎠)
|
|
|
용기내 상태
|
액체
|
액체
|
기체
|
|
|
용기(용기체적/약제량)
|
68ℓ/50kg
|
68ℓ/50kg
|
80ℓ/12.4㎥
|
|
| 가스계소화설비의 점검방법 (0) | 2024.11.22 |
|---|---|
| 이산화탄소소화설비의 점검방법 (1) | 2024.11.21 |
| 청정소화약제의 관련기준 및 종류 (2) | 2024.11.19 |
| 하론소화설비(HALON)의 약제 방출방식 (0) | 2024.11.18 |
| HALON 소화설비 소화약제량 산정 및 저장방식 (1) | 2024.11.15 |