
1. Halon의 설계농도
1) 최소 설계농도
Halon은 n-Heptane을 시료로 하여 불꽃 소화시험을 한 결과 4.1%의 소화농도가 측정되었다. 따라서 최소 4.1%×1.2≒ 5%를 최소 설계농도로 한다.
2) 최대 설계농도
또한 Halon은 산소농도를 낮추는 질식용 가스가 아닌 연쇄반응을 차단하는 작용을 하므로 농도를 제한하여(분해부산물을 억제하여 정상 거주지역에서도 사용이 가능하도록 하기 위하여)최대 설계농도는 10%를 초과하지 않도록 적용한다. 국내소방법상 Halon의 방출계수 0.32(kg/㎥) - 0.64(kg/㎥)는 따라서, 5% - 10%의 농도를 의미한다.
2. 소화약제량 계산
1) 전역방출방식(일반용도 및 특수가연물의 경우)
약제량 Q = V · K1(기본량) + A · K2(가산량)
◦ V(㎥) : 방호구역의 체적
◦ A(㎡) : 방호구역의 개구부 면적
◦ K1, K2 : 방출계수(flooding factor)
1-1) 기본량(= V · K 1)
방호구역별 체적에 따른 기본가스량으로 아래 약제량을 적용한다.
|
방 호 대 상 물
|
약제종별
|
약제량 K1(㎡당)
|
|
|
차고, 주차장, 전기실, 통신기기실, 전 산실 등
|
1301
|
0.32kg이상 - 0.64kg이하
|
|
|
특수가연물
|
1 종 또는 2종가연물
|
1301
1211 2402 |
0.32kg이상 - 0.64kg이하
0.36kg이상 - 0.71kg이하 0.40kg이상 - 1.10kg이하 |
|
고무류, 목재가공품, 톱밥, 면화류, 목모, 대팻밥, 종이조각, 사류, 볏짚류
|
1301
1211 |
0.52kg이상 - 0.64kg이하
0.60kg이상 - 0.71kg이하 |
|
|
합성수지류
|
1301
1211 |
0.32kg이상 - 0.64kg이하
0.36kg이상 - 0.71kg이하 |
|
1-2) 가산량(= A · K 2)
개구부에 자동폐쇄장치가 없는 경우에 누설되는 양을 보충하는 가스량으로 아래표에 의해 산출된 것을 가산량으로 한다.
|
방 호 대 상 물
|
약제종별
|
약제량 K1(㎡당)
|
|
|
차고, 주차장, 전기실, 통신기기실, 전 산실 등
|
1301
|
2.4kg
|
|
|
특수가연물
|
1 종 또는 2종가연물
|
1301
1211 2402 |
2.4kg
2.7kg 3.0kg |
|
고무류, 목재가공품, 톱밥, 면화류, 목모, 대팻밥, 종이조각, 사류, 볏짚류
|
1301
1211 |
3.9kg
4.5kg |
|
|
합성수지류
|
1301
1211 |
2.4kg
2.7kg |
|
2) 국소방출 방식(입체화재)
약제량 Q = V · K(기본량) × h(할증계수)
◦ Q(kg) : 약제량
◦ V(㎥) : 방호구역의 체적
◦ K(kg/㎥) : 방출계수
◦ h : 할증계수
이때 방출계수 K는 아래와 같다.
방출계수

◦ a(㎡) : 방호대상물 주위의 벽면의 합계
◦ A(㎡) : 방호공간
◦ X · Y : 방출계수(국소방출 방식 입면화재)의 벽면의 합계
|
약제의 종별
|
X의 수치
|
Y의 수치
|
|
1301
1211 2402 |
4.0
4.4 5.2 |
3.0
3.3 3.9 |
※ 방호공간
- 방호대상물의 각 부분으로부터 0.6m의 거리에 의하여 둘러싸인 공간을 말한다.
- 벽이 없는 경우에는 벽이 있는 것으로 가정하고 벽의 면적을 구한다.
3. 소화약제 저장방식
1) 축압식
저장용기내 Halon약제를 질소로 축압하고 방사시에는 축압된 압력을 이용하여 Halon약제를 방사하는 방식이다.

< Fig01. 축압식 저장방식 >
2) 가압식
별도의 가압용 질소탱크를 부설하고 방사시 가압용기내의 질소를 이용하여 Halon약제를 방사하는 방식

< Fig02. 가압식 저장방식 >
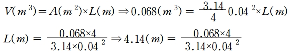
※ 배관내용적과 저장용기 약제량체적 산정 예시
가스계소화설비에서 약제저장용기는 68ℓ -80ℓ를, 배관은 40㎜~65㎜를 주로 사용하고 있다.
따라서 저장용기 68ℓ와 40㎜배관을 사용할 경우 독립배관방식을 적용하기 위한 배관의 길이를 산정하여 보면 다음과 같다.

즉, 40㎜배관을 사용할 경우, 저장용기 1개(68ℓ )당 약 54m 길이의 내용적과 같으며, 배관내용적이 약제의 체적보다 1.5배 이상일 경우 독립배관방식으로 설계해야 하므로81m(54×1.5) 이상이면 독립배관방식으로 설계하여야 할 것이다.
| 청정소화약제의 관련기준 및 종류 (2) | 2024.11.19 |
|---|---|
| 하론소화설비(HALON)의 약제 방출방식 (0) | 2024.11.18 |
| 할로겐화합물 소화설비의 소화원리 (0) | 2024.11.14 |
| 이산화탄소 소화설비의 설치기준 (0) | 2024.11.13 |
| 이산화탄소 소화설비(CO2) 소화약제량 산정방법 (0) | 2024.11.12 |