
1. 소화약제량 산정의 개요
표면화재는 질식소화를 주체로 하며 방사시간내 소화되는 것이 원칙이나 심부화재는 질식소화 효과외에 냉각소화 효과를 필요로 하기 때문에 표면화재보다 고농도로 장시간을 설계농도를 유지하여야 한다. 따라서 CO2약제는 표면화재와 심부화재로 구분하여 약제량 및 방사시간을 달리 적용하고 있다.
2. CO2의 소화농도
공기중의 산소농도는 21%정도이며 , 이 농도를 계속 감소시키면 산소부족으로 연소가 정지되는데 이때의 농도를 “연소한계농도”라 한다.이 값은 가연성 물질의 종류에 따라 다르나, 보통 탄화수소 계열의 석유류 제품의 경우 15%(Vol) 정도이며 , 기타 특정한 가연성 가스 및 위험물의 경우는 더 낮은 산소농도에서 연소가 정지하게 된다. 일반적인 가연성 액체의 표면화재시 CO2를 방사할 경우 소화가 되기 위한 최소 CO2가스량을 구하면 다음과 같다

◦ Q(m3) : 필요한 최소 Co 2의 양
◦ O2(%) : CO2방사후 실내의 산소농도
◦ V(㎥) : 실의 부피
방사후 Co 2의 농도는 다음과 같다.

◦ C(%) : CO2의 농도
◦ O 2(%): CO2방사후 실내의 산소농도
3. 소화약제량 계산
1) 전역방출방식
약제량 Q= V · K 1(기본량) + A · K2(가산량)
◦ Q(kg) : 약제량
◦ V(㎥) : 방호구역의 체적
◦ A(㎡) : 방호구역의 개구부 면적
◦ K1 · K2 : 방출계수
1-1) 표면화재
가연성 액체 또는 가연성 가스에 의한 B C급 화재의 경우 적용한다.
① 기본량
◦ 방호구역 체적에 따른 기본 가스량 이다.
◦ 농도 34%이하의 경우(V×K1) : 농도 34%이하인 B·C급 화재의 경우는 아래 산출된 것을 기본량으로 한다.
|
방호구역체적(㎥)
|
약제량 K 1(㎥당)
|
최저 저장량(kg)
|
|
45미만
|
1.00kg
|
45kg
|
|
45이상 - 150미만
|
0.90kg
|
|
|
150이상 - 1,450미만
|
0.80kg
|
135kg
|
|
1,450이상
|
0.75kg
|
1125kg
|
◦ 산출한 양이 최저한도의 양 미만일 경우는 그 최저한도의 양으로 한다.
◦ 농도가 34%를 초과할 경우(V×K1 × 보정계수)
② 가산량(A× K2)
◦ 개구부에 자동폐쇄장체가 없는 경우에 누설되는 양을 보충하는 가스량이다.
◦ 방출계수( K2) = 5kg/개구부 면적(㎡)
※ 방출계수 중 K 1을 체적계수, K 2를 면적계수라 한다.
1-2) 심부화재
종이, 목재, 석탄, 섬유류, 합성수지류 등과 같은 A급 화재일 경우 적용한다.
① 기본량
◦ 방호구역 체적에 따른 기본 가스량이다.(V× K 1)
◦ 심부화재의 경우 아래표 의해 산출된 것을 기본량으로 한다.
|
방 호 대 상 물
|
약제량 K 1(㎥당)
|
설계농도(%)
|
|
유압기기를 제외한 전기설비, 케이 블실
|
1.3kg
|
50%
|
|
55㎥미만의 전기설비
|
1.6kg
|
50%
|
|
서고, 전자제품 창고, 목재 가공품창고, 박물관
|
2.0kg
|
65%
|
|
고무류, 면화류 창고, 모피 창고, 석탄창고, 집진설비
|
2.7kg
|
75%
|
② 가산량(A · K 2)
◦ 개구부에 자동폐쇄장치가 없는 경우 누설되는 양을 가산하는 가스량이다.
◦ 방출계수( K2) = 10kg/개구부면적(㎡)
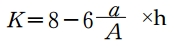
2) 국소방출 방식
입체화재 - 1종가연물 및 2종 가연물일 때 약제량 산출

◦ K(kg/㎥) : 방호공간 체적당 약제량
◦ a(㎥) : 방호대상물 주위의 벽면의 합계
◦ A(㎡) : 방호공간의 벽면의 합계
◦ h : 고압식(1.4), 저압식(1.1)
※ V(㎥) : 방호공간의 체적
※ 국소방출방식 소화약제 계산시 유의사항
- 방호공간이란 방호대상물의 각 부분으로부터 0.6m의 거리에 의하여 둘러싸인 공간을 말하며, 벽이 없는 경우에도 벽이 있는 것으로 가정하고 벽의 면적을 구한다.
- 입체화재시 단위는 K = kg/㎥이며 , K에 V(㎥)를 곱하면 방호공간의 저장해야 할 소화약제량(kg)이 산출된다.
⇒ K(kg/㎥) × V(㎥) = kg(저장량)
| 할로겐화합물 소화설비의 소화원리 (0) | 2024.11.14 |
|---|---|
| 이산화탄소 소화설비의 설치기준 (0) | 2024.11.13 |
| 이산화탄소 소화설비의 구성요소 및 작동원리 (0) | 2024.11.11 |
| 이산화탄소 소화설비의 개요 및 소화원리 (0) | 2024.11.08 |
| 포소화설비 점검방법 - 외관점검, 기능점검 등 (0) | 2024.11.07 |