
R-L-C 회로
1. R-L-C 회로
교류 전원 장치에 저항, 코일, 축전기가 직렬로 연결된 전기 회로

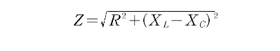
2. 임피던스(Z)
교류 회로에서 회로 전체의 저항 효과

3. 공진 주파수
회로에 가장 센 전류가 흐를 때의 주파수
유도 리액턴스와 용량 리액턴스가 같을 때(XL =XC) 임피던스는 최소(Z=R)이고, 회로에는 가장 센 전류가 흐름

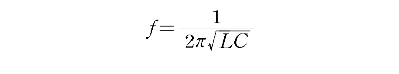
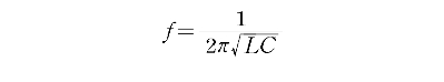
전파의 발생과 수신
교류 전원의 주파수가 R-L-C 회로의 공진 주파수와 같을 때 센 전류가 흐르면서 강한 전파가 발생함

|
안테나에서 여러 주파수의 전파를 모두 수신함 ↓ 수신된 전파는 모두 교류 전원의 역할을 함 ↓ 회로의 공진 주파수와 같은 주파수의 전파만이 강한 전류를 흐르게 함 ↓ 공진 주파수와 같은 전파의 정보만을 재생함 |
L-C 회로와 안테나를 이용한 전파의 송신과 수신

→C값이나 L값을 바꾸면 원하는 주파수의 전파를 보내거나 수신할 수 있음
| 건설현장 용어정리(속어) (5) | 2020.10.21 |
|---|---|
| 1로 / 3로 스위치의 구조 (2) | 2020.10.20 |
| 직렬 연결과 병렬 연결 (0) | 2020.10.15 |
| 전지와 전구 연결 (0) | 2020.10.14 |
| 전동기의 원리 / 전기에너지의 이용 (2) | 2020.10.13 |