
전동기
1. 전동기
전류의 자기 작용을 이용하여 전기 에너지를 역학적 에너지로 전환하는 장치
2. 직류 전동기
자석 사이에 있는 코일에 전류가 흐를 때 자석과 코일 사이에 작용하는 자기력에 의해 코일이 회전하게 됨
3. 교류 전동기
코일에 교류가 흐를 때 발생한 자기장의 변화에 의해 다른 코일에 전류가 유도될 때 자기력이 작용하여 코일이 회전하게 됨
4. 직류 전동기와 교류 전동기의 비교
|
구분 |
직류 전동기 |
교류 전동기 |
|
특징 |
회전 방향과 회전 속도를 바꿀 수 있음 구조가 복잡하고 가격이 비쌈 정류자와 브러시가 있어서 수명이 짧음 |
정류자가 없어서 수명이 긺 용량이 수십 W의 소형부터 수백 kW에 이르는 대형까지 있음 |
|
용도 |
소형 장난감, 컴퓨터, VTR, TV, 오디오, 휴대 전화, 전기면도기, 전철, 엘리베이터 등 |
선풍기, 세탁기, 냉장고, 펌프, 크레인 등 |
전동기의 원리
1. 직류 전동기의 원리
① 외부에서 공급되는 직류 전류가 브러시와 정류자를 통해 코일에 흐르면 자석과 코일 사이에 자기력에 의한 돌림힘이 코일을 회전시킴

② 코일이 회전하여 코일 면이 자기장에 수직이 되는 순간 정류자에 의해 코일에 흐르는 전류의 방향이 바뀜

③ 코일에 흐르는 전류의 방향이 바뀌면 자기력이 다시 ①에서와 같은 방향으로 작용하여 코일은 계속 한쪽 방향으로 회전함

2. 교류 전동기의 원리

① 고정 코일에 교류 전류가 흐르면, 고정 코일에 세기와 방향이 변하는 자기장이 형성됨
② 고정 코일에서의 자기장의 변화에 의해 회전 코일에 전류가 유도됨
③ 유도 전류는 렌츠 법칙에 따라 자기장의 변화를 방해하는 방향으로 흐르므로, 고정 코일과 회전 코일 사이에 자기력이 작용하여 회전 코일이 회전함
조명 기구



전열기
전류의 열작용을 이용하여 전기 에너지를 열에너지로 전환하는 장치
예) 전기밥솥, 전기난로, 전기장판, 헤어 드라이어 등
전기차
전기 에너지를 운동 에너지로 전환하여 이용하는 자동차임. 전기차에는 하이브리드형, 연료전지 형, 충전형 등이 있음
전기 기구의 소비 전력
1. 정격 전압과 소비 전력
정격 전압 : 전기 기구가 안전하게 제기능을 할 수 있도록 연결해야 하는 전원의 전압
소비 전력 : 정격 전압을 연결했을 때 전기 기구가 매초 소비하는 전기 에너지

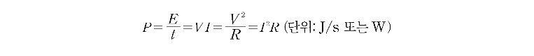
2. 전력량
어느 시간 동안에 사용하는 전기 에너지의 총량으로, 소비 전력 P 와 사용 시간 t 의 곱으로 나타냄
W=Pt (단위 : Wh)
| 직렬 연결과 병렬 연결 (0) | 2020.10.15 |
|---|---|
| 전지와 전구 연결 (0) | 2020.10.14 |
| 조명의 방법 / 분류 (0) | 2020.10.12 |
| 마찰전기 / 정전기 / 접지 / 방전 교육자료 (0) | 2020.10.08 |
| 건설시공 교육자료 (0) | 2020.10.07 |