
1. 회전 원리
유도기의 회전 원리를 설명할때 꼭 등장하는 것이 아라고의 원판입니다.
그럼 아라고의 원판에 대해 알아 보도록 하겠습니다.

< Fig01. 아라고의 원판 >
동 원판 중심에 축을 설치하여 중심축을 고정시키고 원판을 돌리면 돌아 가는 상태에서 말굽자석을 주위에 설치하여 시계방향으로 말굽자석을 회전시키면 N극에서 나와 S극으로 들어가는 자속이 원판을 쇄교하는 양이 변화되어 렌쯔의 법칙에 따른 와 전류 가 발생되고 자장내에서 와전류가 원판에 흐르면서 원판에 기전력이 발생된다.
이러한 현상을 이해하기 쉽게 다시 그리면 다음과 같다.

< Fig02. 플레밍의 오른손 법칙 >
말굽자석이 원판 주위를 시계 방향으로 회전 하면서 발생되는 와 전류의 방향을 알아보기 위해 플레밍의 오른손 법칙을 적용하면 현재 원판은 고정되어 있고 말굽자석이 회전하지만 상대적인 걔념으로 생각하면 원판이 반 시계 방향으로 회전 한다고 볼수있다.
따라서 발생되는 기전력의 방향은 그림과 같다.

< Fig03. 플레밍의 왼손 법칙 >
자장 내에서 전류가 흐르므로 플레밍의 왼손 법칙을 적용하면 전자력 F는 시계 방향으로 발생되어 말굽자석과 같은 방향인 시계방향으로 원판은 회전하게 된다 .
이것이 유도 전동기의 회전원리 이며 원판이 토크를 발생하기 위해서는 원판의 회전속도는 말굽자석의 속도 보다 천천히 돌아야 한다. 만일 동기속도로 회전 한다면 쇄교되는 자속의 양이 일정하게 되어 기전력이 발생안되고 따라서 전자력도 발생되지 않아 토크를 발생시킬수 없다.
2. 회전자계

아라고의 원판에서 말굽자석을 돌리는 대신 그림과 같이 고정자 권선을 공간적으로도 120° 각을 갖도록 권선 하고 크기 같고 위상차 120°인 3상 전원을 인가하면 동기 주파수로 회전하는 회전자기장을 얻을수 있으며 이는 말굽자석을 돌리는 것과 같은 작용을 한다.
· 3상유도 전동기 : 3상 교류 전원 인가 → 회전자계 발생
· 단상 유도 전동기 : 단상 교류 전원 인가 → 교번자계 발생

그림과 같은 3상전원의 t=t1 ~ t6 인 순간에 고정자 권선에 흐르는 전류의 방향을 알아 보고 앙페르의 오른손 법칙에 따른 합성 자속의 방향을 알아 보면 다음과 같다.

t=t1 인 순간 A상 만 정방향 이고 나머지는 역방향
t=t3 인 순간 B상 만 정방향 이고 나머지는 역방향
t=t5 인 순간 C상 만 정방향 이고 나머지는 역방향
따라서 합성자속 Φ는 앙페르의 오른손 법칙에 의해 그림과 같이 동기 속도로 회전하는 회전 자계가 발생된다.

3. 유도 전동기의 종류
1) 농형 유도 전동기
회전자의 모양이 다람쥐 쳇바퀴 를 닮아 농형 유도 전동기라 한다.
회전자 철심안에 홈을 내서 구리봉을 집어넣고 양단을 단락환을 사용하여 단락 시킨 구조이며 고정자 권선에 의해 발생된 자속이 회전자를 쇄교하여 기전력이 발생되고 회전자의 전자력에 의해 토크가 발생된다.

슬롯을 비스듬하게 설치하는 이유는 전동기의 소음을 적게 하기 위해서이며 이를 사구 라고 한다.
2) 권선형 유도 전동기
회전의 권선을 Y결선으로 감아 외부로 인출하여 가변저항을 통해 속도와 토크를 제어 하는 방식

4. 슬립
전동기의 회전속도를 나타내는 상수.
회전자기장의 동기속도 > 회전자의 회전속도 의 조건이 만족되어야만 자속을 쇄교하여 기전력이 발생되고 기전력에 의해 전자력이 발생되어 전동기가 토크를 낼수있다.
슬립은 다음과 같이 표현된다.

정지상태의 슬립 S=Ns-0/Ns = 1
동기속도의 슬립 S=Ns-Ns/Ns=0 : 무부하 운전시 거의 동기속도이며 토크 발생안됨
따라서 유도 전동기의 슬립 범위는 0 < S < 1 이다.
보통 전부하 운전상태의 슬립 S= 2.5 ~ 5% 정도이다.
전동기 역회전시의 슬립
S=Ns-(-N)/Ns = Ns+N/Ns 이므로 정지시 S=1 동기속도 운전시 S=2 이다.
슬립범위 1 < S < 2
5. 상대속도의 개념
상대속도 : 예를 들어 같은 속도로 달리는 A.B 두대의 차가 있을때 서로 마주보고 있는 상태라면 상대적이 속도는 정지하고 있는것 처럼되어 상대 속도는 0 이된다.
만일 A 가 100km/h 이고 B가 80km/h 라면 상대속도는 20km/h 가 된다
따라서 둘 사이의 상대 속도는 둘 사이의 속도차로 나타낼수있다.
SNs=Ns-N (유도전동기의 상대 속도)
전동기 회전자 속도 N=(1-S)Ns=(1-S)120f/P 이다.
< 표01. 슬립과 속도 특성 >
|
동기속도
|
상대속도
|
실제속도
|
|
Ns
|
sNs
|
(1-s)Ns
|
|
1
|
s
|
(1-s)
|
6. 회전자의 유도 기전력
유도 전동기의 원리는 변압기의 원리와 같다고 말씀 드렸습니다.
그러면 그 둘의 특성을 한번 비교 해 보도록 하겠습니다.
1) 유도 전동기
· 유도기의 고정자 권선
· 회전자의 권선
· 공극을 통한 자기적인 결합
· 2차 회로 단락
2) 변압기
· 변압기의 1차 : 여자전류 I0에 의한 자속 발생
· 변압기 2차 : 전자 유도 작용에 의해 유도 기전력 발생
· 철심을 통한 자기적이 결합
· 2차회로에 부하 접속
위와 같은 특성을 가지므로 변압기 유도기의 원리는 같으며 동일한 등가 회로를 사용하여 회로 해석을 할수 있습니다.
다만 변압기와 달리 유도 전동기는 정지상태와 회전상태 일때의 특성이 슬립에 의해 변하므로 두 상태 일때의 유도 기전력을 비교해 보도록 해봅시다.
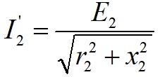
7. 정지시 유도 기전력
변압기의 등가회로를 기준으로 정지 상태 유도 전동기의 등가회로를 그리면 다음과 같습니다.


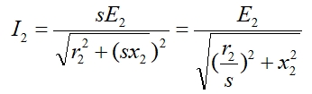
운전시 유기 기전력
2차 회전자 권선에는 회전 자기장의 속도와 회전자의 속도 차에 의한 기전력이유도 된다.
즉 2차 측에는 상대 속도에 의해 유도 기전력이 발생되지만 1차 고정자 권선 측에는 변화가 없다.
운전시 유도기전력은 상대속도

8. 유도 전동기의 전력 변환

유도전동기의 1차측은 정시시 나 회전시 변화 없으므로 2차측 만을 보도록 하겠습니다.

이것 말고는 고려할 사항이 없습니다.


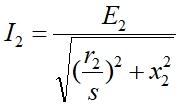
회전시 기전력과 리액턴스는 슬립주파수에 의해 변한다.



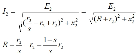
식의 변환을 위해 r2를 더하고 빼면


식의 변환에 의해 저항 부분을 속도에 따라 변하는 R 과 정지시의 상태와 같은 r2로 분리 할수 있다.
변압기라면 R은 부하가 되겠지만 전동기의 경우 R 은 기계적인 출력을 발생 시키는 등가 저항 이며 이는 전부하 토크와 같은 토크로 기동하기 위한 외부 저항이 된다.
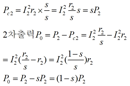
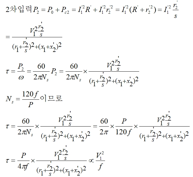
9. 2차 출력
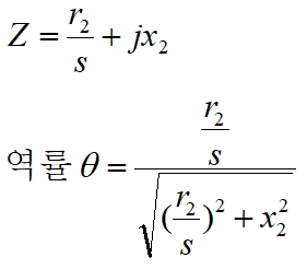
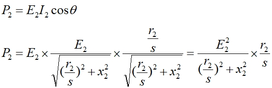
임피던스 Z로 부터 역률을 구하면 다음과 같다.

< Fig03. 회전자의 2차 입력 >


10. 2차 효율
2차동손Pc2(r2에서 소비되는 손실)

2차효율

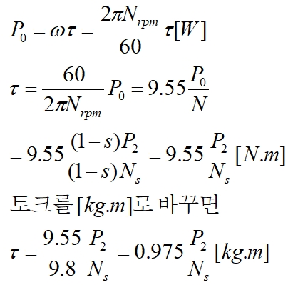
11. 토크와 공급전압 관계
토크는 2차 입력 전압에 비례한다.


< 토크와 슬립과의 관계 >

결국 토크는 2차입력과 동기속도의 관계로 나타낼수 있다.
12. 토크와 슬립과의 관계
유도 전동기 등가회로의 2차를 1차로 환산한 등가회로는 아래와 같다.



토크는 주파수에 반비례하고 공급전압에 비례한다.
기동토크(s=1일때)

위 식에서의 동기속도, 저항, 리액턴스의 값은 일정하므로 결국 토크는 슬립에 의해 변하는 슬립의 함수가 된다.
이식을 통해서 속도 및 토크 특성곡선을 그려 보면 다음 그림과 같다.
<속도 특성곡선>
1차 전압(전원전압)을 일정하게 유지하고 슬립(속도)을 변화 시킬때 1차 전류, 2차 전류, 토오크, 기계적 출력, 역률, 효율등이 어떻게 변화 하는가를 나타낸 곡선


전동기의 토크와 부하 토크 와 의 관계는 다음과 같다.
전동기 토크 > 부하 토크 : 가속운전
전동기 토크 = 부하 토크 : 일정속도 운전
전동기 토크 < 부하 토크 : 감속운전
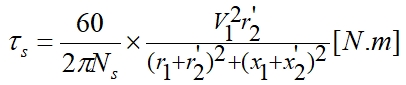
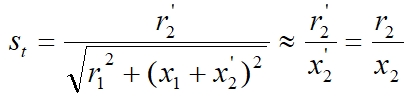
13. 최대 토크 슬립
최대 토크 슬립 St는

인 변화률이 0인 지점에서 구할수 있다. 미분하여 최대슬립을 구하면

최대토크는 최대슬립값을 대입하여 구할 수 있다.

위 식에서와 같이 최대토크의 크기는 2차 저항이나 슬립과 관계가 없을을 알수있다.
| Y-△ 변환 공식 유도방식 (0) | 2024.04.18 |
|---|---|
| 자기 및 상호 인덕턴스와 정상 및 역상 인덕턴스와의 관계 (0) | 2024.04.17 |
| 스폿네트워크(Spot network) 수전방식의 구성 (0) | 2024.04.15 |
| 연료전지(Fuel cell)의 기본원리 및 종류 (0) | 2024.04.12 |
| 차단기의 비대칭 단락전류(Asymmetrical short-circuit current) 설명 (0) | 2024.04.11 |