
1. 작용, 자기 및 상호 인덕턴스와 정상 및 역상 인덕턴스와의 관계
L : 작용인덕턴스 → 3상에서의 정상 인덕턴스

Le: 자기인덕턴스 → 1선과 대지와의 인덕턴스 = 단상에서의 영상임피던스


Le': 상호인덕턴스 :

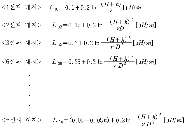
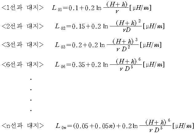
Le2 = L02 = 2선 일괄과 대지사이의 인덕턴스 = 단상2회선의 영상임피던스

Le3 = L03 = 3선 일괄과 대지사이의 인덕턴스 = 단상3회선, 3상1회선의 영상임피던스
Le6= L06 =6선 일괄과 대지사이의 인던턱스 = 3상 2회선의 영상 임피던스
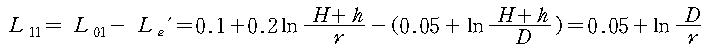
① L = Le - Le' → 즉 L11 = L01 - Le' : 정상임피던스

② Le2 = Le + Le' → 즉 L02 = L01 + Le' : 단상 2회선의 영상임피던스

③ Le3 =Le+2Le' → 즉 L03 = L01 + 2Le' : 단상3회선의 영상임피던스(1회선송전선로)

④ Le6 = Le + 5Le' → 즉 L06 = L01 + 5Le' : 단상6회선의 영상임피던스(2회선“)

2. 정상임피던스의 증명
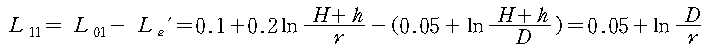
1) 내부인덕턴스

① 한도체의 내부 인덕턴스(단위길이당)

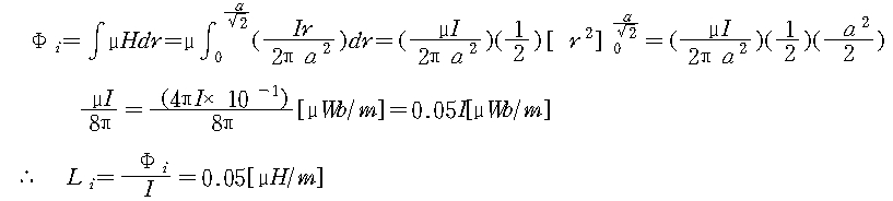
② n도체의 내부 인덕턴스
한도체당 0.05[μH/m]이므로 n도체의 경우 n도체가 병렬로 연결되어 있는 것으로 생각할수 있으므로


2) 외부자계에 의한 인덕턴스

① 1도체와 1‘~n'의 인덕턴스

② 2도체와 1‘~n'의 인덕턴스

ⓝ n도체와 1‘~n'사이의 인덕턴스

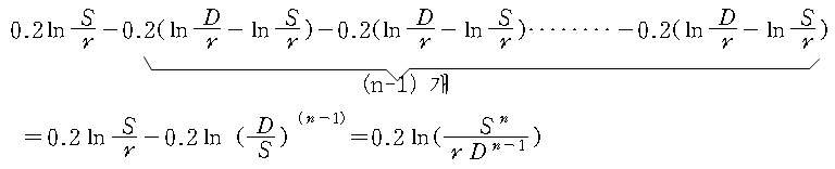
∴ 외부자계에 의한 인덕턴스의 합성( Lon)


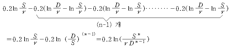
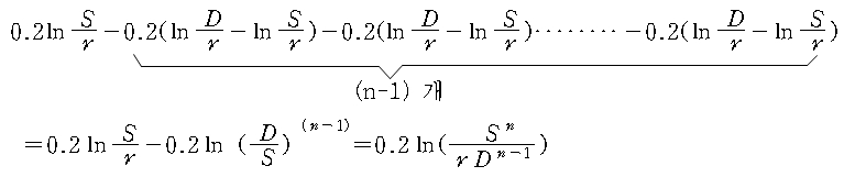
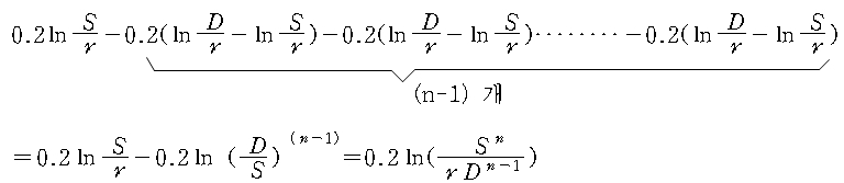
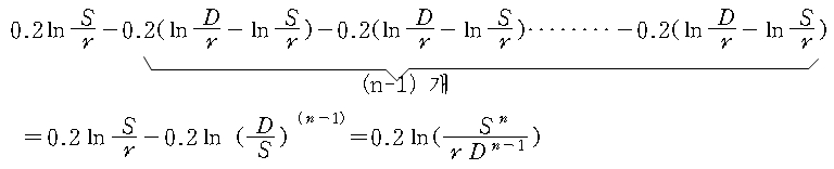
3) 정상임피던스(n도체로 이루어진 선로)

3. 영상임피던스의 증명
1) 영상인덕턴스(임피던스)와 선로인덕턴스와의 관계
① 영상 인덕턴스 (Mutual Inductance)
영상 인덕턴스는 하나의 회로에서 전류가 변화할 때, 그 주변에 있는 다른 회로에 일어나는 인덕턴스를 의미합니다. 두 회로 사이에 자기장이 상호 작용하여 전류 변화가 하나의 회로에서 다른 회로로 전달되는 현상입니다.
② 선로 인덕턴스 (Self Inductance)
선로 인덕턴스는 단일 회로의 인덕턴스를 나타냅니다. 즉, 해당 회로의 전류가 변화할 때, 자기장에 의해 그 회로에 인덕턴스가 발생하는 것을 의미합니다. 이는 회로의 자기 에너지를 증가시키는 효과를 갖습니다.
이 두 개념은 밀접하게 관련되어 있습니다. 하나의 회로의 선로 인덕턴스가 변화하면, 이는 그 주변의 다른 회로에도 영상 인덕턴스를 통해 영향을 미칠 수 있습니다. 특히, 인접한 회로나 전선이 있을 때 이러한 상호 작용이 두드러집니다. 이러한 관계는 전기 및 전자 회로 설계 및 분석에서 중요한 역할을 합니다.
영상임피던스는 n도체의 일괄과 대지와의 임피던스(인덕턴스)이므로 이값 을 구하면 됩니다.

2) 영상임피던스(n도체로 이루어진 선로)

| 금속의 전기적 부식방지(방식) 방법 (0) | 2024.04.22 |
|---|---|
| Y-△ 변환 공식 유도방식 (0) | 2024.04.18 |
| 유도 전동기(Induction motor)의 회전원리 (0) | 2024.04.16 |
| 스폿네트워크(Spot network) 수전방식의 구성 (0) | 2024.04.15 |
| 연료전지(Fuel cell)의 기본원리 및 종류 (0) | 2024.04.12 |