
1. 옴의 법칙 (Ohm's Law)
독일의 물리학자이자 수학자인 게오르크 옴은 다양한 재질로 된 도선의 전류를 측정하는 실험으로 ,
I는 V에 정비례하고, 저항에는 반비례한다는 결론(옴의 법칙) 을 얻었습니다.

또한, V와 I와 P 간의 관계의 대해서는 와트의 법칙으로 정리가 됩니다.
이 두 가지 법칙은 전기전자회로를 이해하기위한 가장 기초적인 개념입니다.

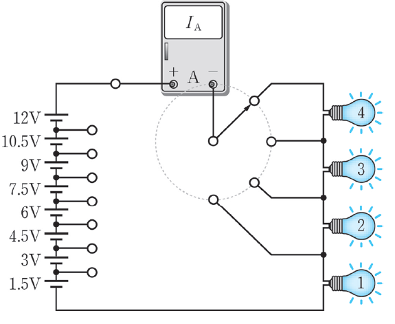
< Fig01. 옴의 법칙 실험회로 ; 전압을 올릴수록 전구의 빛이 밝아진다 >
옴의 법칙은 두 개의 실험으로 설명이 가능합니다.
위의 그림부터 첫번째 실험을 진행해볼까요?
왼쪽의 단자를 이용하여 전구에 전압을 1.5V부터 1.5V 단위로 12V까지 변화하며 인가하였습니다.
여기서, 실험을 직접해보니 전압을 1.5V에 인가했을 때 전구가 제일 어두웠고, 전압을 12V로 상승시킬수록 전구가 더 밝아졌습니다.
전구는 저항역할을 합니다. (직렬회로에서는 모든 전기장치가 저항으로 단순화하여 생각해도 무방합니다.)
전압을 증가시키는 것은 곧 전하를 밀어내는 E를 증가시킨 것으로,
결과적으로는 전구에 공급되는 단위시간당 전하의 양이 증가하게 됩니다.
여기서, 단위시간당 전하의 양은 전류로 볼 수 있습니다.
따라서, 정리하자면 전압이 강할수록 전하의 흐름, 즉 전류는 더 증가할 겁니다.

< Fig02. 옴의 법칙 실험회로 ; 램프(Lamp)를 늘릴수록 빛은 어두워진다 >
이번 실험에서는 전압을 고정한 상태에서, 전구(저항)을 바꿔가면서 측정해보겠습니다.
이 떄, 회로에 연결된 전구 수를 늘릴 때마다 전구의 밝기는 어두워졌습니다.
이를 관찰하여 얻을 수 있는 결과는 무엇일까요?
전구의 수를 늘리는 것은 곧 저항을 증가시키는 것으로,
회로에서 전하를 밀어내는 E는 그대로인채 전하를 흐르지 못하게 방해하는 것과 같습니다.
전하의 흐름을 방해하므로 단위시간당 흐르는 전하의 양인 전류는 저항이 증가함에 따라 감소하게 됩니다.
이 두 실험을 통해.
전압이 고정된 상태에서 저항이 증가하면 전류는 감소하고,
저항이 고정된 상태에서 전압이 증가하면 전류도 증가함을 알수 있습니다.
이를 수식으로 나타내면,

여기서 식을 조금 만지면,

로 변경할 수도 있겠습니다.
즉, V, I, R중 두 가지 요소만 알면 나머지 하나를 쉽게 구할 수 있는 무기가 생긴 셈입니다.
2. 와트의 법칙 (Watt's Law)

전력의 단위는 증기기관을 개량한 제임스 와트의 이름을 따서 와트[W]를 사용합니다.
저번 포스팅에서 전력에 관해서도 포스팅 했었지만, 한번도 짚고 넘어가겠습니다.
1W의 전력은 1초동안 1V의 전위차에 의해 1C의 전하를 옮기는데 필요한 에너지의 양으로 정의됩니다.
하지만, W는 전력의 단위 이외에도 일의 단위로도 사용됩니다.
그렇다면, 왜 헷갈리게 같은 단위를 사용할까요?
사실 일과 에너지는 근본적으로 같은 의미입니다.
전력은 일을 할 수 있는 힘으로 나타내는데, 힘에는 시간의 개념이 들어가 있기 때문이지요.
에너지의 단위는 제임스 쥴의 이름을 따서 줄[J]로 표현하며,
1J은 1N의 힘으로 물체를 1m 이동시켰을 때 한 일로 정의됩니다.
정의하였듯이, 1J의 일은 1초만에 하든, 1년만에 하든 E의 개념에서는 동일하게 1J입니다.
하지만, W의 개념에서 보면, W는 1W = 1J/sec로 나타 낼 수 있겠습니다.

이렇게만 설명하면, 헷갈릴 수 있으니 단위에 대해 조금 더 이야기 하겠습니다.
전압은 단위전하당 에너지, 즉 1C의 전하가 가지고 있는 에너지를 의미합니다.
1V = 1J/C
전류는 단위시간당 흐르는 전하의 양을 의미합니다.
1A = 1C/sec
전력의 경우, 1W는 1초동안 1V의 전위차로 1C의 전하를 옮기는데 소요한 에너지의 양으로 정의하기도 했고,
1W는 1J의 일을 1초동안 수행한 에너지의 양으로 정의하기도 했습니다.

결국, 이렇게 표현 할 수 있겠죠?
P = V ⋅ I = (I ⋅ R) ⋅ I [옴의 법칙 사용]
P = V ⋅ I = V ⋅ (V/R) [옴의 법칙 사용]
| 계전기의 스위치의 종류 - 광전스위치, 리미트스위치, 푸쉬버튼스위치, 셀럭터 스위치 등 (2) | 2024.03.06 |
|---|---|
| 전기기초 교육자료 (0) | 2024.03.04 |
| 전동기의 정·역운전회로, 지연동작회로 등 (0) | 2024.02.29 |
| 스타-델타(Y-△) 기동 운전방법 / EOCR의 설명 (0) | 2024.02.28 |
| 시퀀스 제어(Sequence controll) - 인터록회로 / 자기유지회로 등 (0) | 2024.02.27 |