
1. 단권 변압기
1차, 2차 권선이 두 개인 일반적인 변압기는 두 권선이 자기적으로 결합하지만 전기적으로는 격리되어 있다.
단권변압기는 권선이 하나 뿐인 변압기로서 전기적으로 격리되지 않음
단권변압기는 전압비가 1에 가깝고 1차, 2차 권선사이의 전기적 격리가 중요하지 않은 경우에 사용


< Fig01. 단권변압기의 회로 >
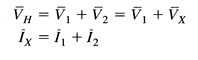
위의 그림과 같은 단권변압기에서 전압, 전류는

1차, 2차 전압의 위상차가 매우작으므로 (보통 10°이하) 실효값의 합으로 구해도 무방하며

여자전류를 무시하면 입력전류와 출력전류 비는


입력전압과 출력전압의 비는

권선비가 1+α인 단권변압기와 권선비가 α인 2권선 변압기의 용량비는 α가 작은 경우에 커짐

장점 - 저 동량, 고효율, 저 누설 리액턴스
단점 - 1차, 2차의 전기적 격리가 안됨
2. 변압기 병렬운전
용량을 초과하는 부하를 분담하기 위하여 변압기를 병렬로 연결하여 운전하게 된다.

1) 변압기 병렬 운전 조건
① 두 변압기의 1차 및 2차 정격전압은 같아야 한다. - 권선비가 같지 않으면 순환전류가 발생한다.
② 두 변압기 등가 임피던스의 비는 용량에 반비례 해야 한다. - 부하분담이 용량에 비례
③ 두 변압기의 등가 리액턴스와 등가저항의 비가 같아야 한다. - 그렇지 않으면 두 변압기의 전류에 위상차가 발생
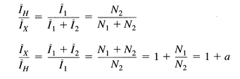
두 변압기의 권선비가 α', α'' 인 경우에 전압, 전류 관계는


따라서 각 변압기의 전류를 구하면

여기서 권선비가 같으면 순환전류가 없는 ①번 조건이 되며,
정격전압이 같은 경우 두변압기의 임피던스 비는 전류비가 되므로 ②번 조건이 되며,
각 전류의 위상이 같으려면 두 변압기의 임피던스 위상이 같은 ③번 조건이 된다.
3. 변압기 리액턴스 계산
등가 리액턴스는 1차 및 2차 전류에 의한 누설자계로부터 결정된다.
리액턴스 계산에 관한 공식을 유도하기 위해 먼저 그림 1과 같은 동심 원통형 권선 2개를 가지는 단순 변압기를 고려하자.
2차권선이 철심 주위에 원통형으로 설치되고 1차권선이 2차권선 주위에 원통형으로 설치되는 구조이다.

전류에 의해 발생된 자속의 전부가 두 권선의 모든 turn을 쇄교하지는 않으며 이 자속이 누설자속 성분이된다.
① 1차코일의 각 점에서 작용하는 기자력
② 2차코일의 각 점에서 작용하는 기자력
③ 두 기자력의 합이 된다.

동심 원통형 코일에서 영역별 누설자속 두 코일을 같은 기준으로 환산하는 경우에 권선 수는 같게 되며 N가 1차 코일의 권선수라 하면 리액턴스는 1차기준 리액턴스가 된다.

1차코일 전류만을 고려하는 경우에 1차코일을 쇄교하는 자속을 살펴보자.
원통형코일 내부의 각 위치에서 기자력 실효값은 일정하고 다음과 같다.

단, N : 코일의 권선수 , I : 코일 전류의 실효값

< Fig02.외측코일의 각 위치에서 기자력 >

식에서 코일 내부를 통과하고 코일을 쇄교하는 자속의 실효값은

원통형 코일 내부에서 단면적 및 길이는

따라서 원통형 코일 내부를 통과하는 누설자속을 Φ1이라 하면 다음과 같이 된다.

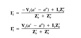
각 점의 기자력 n은 코일 중심으로부터 거리x의 함수가 된다.

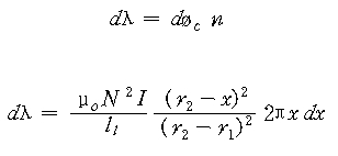
코일 중심으로부터 x인 위치에서 dx두께의 원통형 요소를 고려하는 경우 이 요소를 통과하는 쇄교자속은

이 자속은 모든 turn을 쇄교하지 않고 n권선수만을 쇄교한다. n권선수에 대한 등가의 총 쇄교자속은 아래와 같다.


이상에서 모든 turn을 쇄교하는 총 쇄교자속은 식에서

코일의 중심으로부터 z안쪽의 모든 자속이 코일의 모든 turn을 쇄교하는 것으로 가정한다면

따라서

다음과 같은 K및 ζ를 정의한다.

대입하고 식에서 우변의 분모, 분자를 r1로 나누어 정리하면

여기서 ζ= 1.2 일때, K = 0.338 이다.
그림(Fig03)에서 K와 ζ의 관계를 보면 ζ가 1 ~ 1.5 에서 K의 값은 약 1/3 이 되는 것으로 간단화 할 수 있다.

< Fig03. K와 ζ의 관계 >
따라서 이러한 값으로 그림(Fig05)와 같은 core type 변압기 원통형 코일의 리액턴스를 간단히 유도할 수 있다.

< Fig04. 1차, 2차 코일 각 위치에서 기자력 >

< Fig05. 1차, 2차 코일과 등가 유효기자력 >
그림(Fig05)와 같은 등가의 균일 기자력에 의해 발생된 누설자속은 다음과 같다.

1) %리액턴스 유도에서 고려된 가정의 정리
① 두 코일의 turn 은 축방향 및 방사방향으로 균일하게 분포
② 두 코일의 축 길이는 같다.
③ 누설자속은 축 방향으로서 코일의 축 길이를 전부 통과한다.
④ 자로의 유효길이는 실험식이다.
⑤ 각 코일 자체를 통과하는 쇄교자속은 각 코일 두께의 1/3에서 등가의 균일 기자력으로 고려한다.
⑥ 누설자로의 평균주변길이는 두 코일 각각의 평균주변길이를 산술 평균한 값이다.
https://electriceng.tistory.com/1097
변압기 기초원리 및 이론(Transformer Basics and Principles)
변압기 기초원리 및 이론(Transformer Basics and Principles) 1. 변압기 기초이론 변압기란 자기회로로 결합된 두 개 이상의 권선으로 구성된 정지기기이며, 전자유도 현상에 의해 같은 주파수로 전력을
electriceng.tistory.com
https://electriceng.tistory.com/1098
변압기 기능 및 구조(Transformer components)
변압기 기능 및 구조(Transformer components) 1. 변압기 기능 및 구조 저전류 고전압을 대전류 저전압으로 변환 또는 역변환 1) 변압기 외관 및 권선 배치 < Core type > < Shell type > 2) 변압기의 주요 구성 요
electriceng.tistory.com
https://electriceng.tistory.com/1101
3상 변압기의 결선(3Phase Transformer Connections)
3상 변압기의 결선(3Phase Transformer Connections) 1. 3상 회로 경제성 및 운전상의 장점으로 3상 시스템이 발전, 송전 및 큰 용량의 부하에서 사용되고 있다. < Fig01. (a) 시간영역에서 3상 파형 (b) 정상 (a-b
electriceng.tistory.com
https://electriceng.tistory.com/1102
변압기의 코어 종류(Transformer Iron Core Type)
변압기의 코어 종류(Transformer Iron Core Type) 1. 변압기의 철심구조 변압기에 사용되어지고 있는 코어 제작에 많은 종류들이 있어왔습니다. 일반적으로 코어는 다음과 같은 범주로 나눠질 수 있다.
electriceng.tistory.com
| 변압기의 코어 종류(Transformer Iron Core Type) (2) | 2024.02.02 |
|---|---|
| 3상 변압기의 결선(3Phase Transformer Connections) (0) | 2024.02.01 |
| 변압기 기능 및 구조(Transformer components) (0) | 2024.01.29 |
| 변압기 기초원리 및 이론(Transformer Basics and Principles) (0) | 2024.01.26 |
| IV전선 허용전류(Current carrying capacity) 구하는 공식 (0) | 2024.01.24 |