
1. 변압기 기초이론
변압기란 자기회로로 결합된 두 개 이상의 권선으로 구성된 정지기기이며, 전자유도 현상에 의해 같은 주파수로 전력을 수송하고 전압, 전류를 변환시키는 전력계통에 사용되는 전기기기이다.
2. 자계
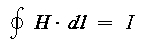
- Ampere의 주회적분 법칙
- 자계중에 임의의 폐곡선에 따르는 선적분은 폐곡선으로 된 평면을 관통하는 전류와 같다.


1) 자계의 세기

2) 공심코일 - 직류여자
※ 자계의 세기 (진공중)


3) 투자율

4) 기자력 ( mmf )


5) 공심코일 - 교류여자


6) 공심코일 변압기

2. 철심코일
1) 자계


2) 자화현상


3) 투자율


4) 자화곡선

< B - H 곡선 >
5) 철손(Hysteresis loss)


6) 와류손(Eddy current loss)

0.23, 0.27, 0.3, 0.35 ~ 5 mm for power application
0.01~ 0.5 mm for electronics application

7) 아몰퍼스메탈코어(Amorphous metal core)
- silicon steel core 손실의 1/3정도
3. 자기회로
1) 기자력


2) 자기저항(Reluctance)


3) 자기에너지


4) 리액턴스


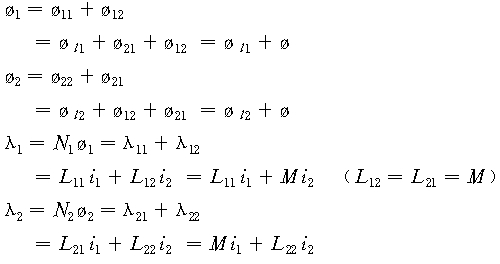
4. 자기결합 회로

1) Voltage equation

2) Magnetic energy




3) 코일 극성
- 자기결합 코일에서 상호자속은 각 코일의 권선방향에 따라서 쇄교자속의 증가나 감소가 이루어진다.
이를 나타내는 코일의 극성표시 dot 및 전류 방향에 의해 아래 그림과 같이 상호 유도전압의 극성이 결정된다.



4) 직렬연결


5) 병렬연결


https://electriceng.tistory.com/1098
변압기 기능 및 구조(Transformer components)
변압기 기능 및 구조(Transformer components) 1. 변압기 기능 및 구조 저전류 고전압을 대전류 저전압으로 변환 또는 역변환 1) 변압기 외관 및 권선 배치 < Core type > < Shell type > 2) 변압기의 주요 구성 요
electriceng.tistory.com
https://electriceng.tistory.com/1099
변압기 리액턴스 계산방법 / 단권변압기(Autotransformer)의 설명
변압기 리액턴스 계산방법 / 단권변압기(Autotransformer)의 설명 1. 단권 변압기 1차, 2차 권선이 두 개인 일반적인 변압기는 두 권선이 자기적으로 결합하지만 전기적으로는 격리되어 있다. 단권변
electriceng.tistory.com
https://electriceng.tistory.com/1101
3상 변압기의 결선(3Phase Transformer Connections)
3상 변압기의 결선(3Phase Transformer Connections) 1. 3상 회로 경제성 및 운전상의 장점으로 3상 시스템이 발전, 송전 및 큰 용량의 부하에서 사용되고 있다. < Fig01. (a) 시간영역에서 3상 파형 (b) 정상 (a-b
electriceng.tistory.com
https://electriceng.tistory.com/1102
변압기의 코어 종류(Transformer Iron Core Type)
변압기의 코어 종류(Transformer Iron Core Type) 1. 변압기의 철심구조 변압기에 사용되어지고 있는 코어 제작에 많은 종류들이 있어왔습니다. 일반적으로 코어는 다음과 같은 범주로 나눠질 수 있다.
electriceng.tistory.com
| 변압기 리액턴스 계산방법 / 단권변압기(Autotransformer)의 설명 (0) | 2024.01.30 |
|---|---|
| 변압기 기능 및 구조(Transformer components) (0) | 2024.01.29 |
| IV전선 허용전류(Current carrying capacity) 구하는 공식 (0) | 2024.01.24 |
| KS C IEC 60364-5-52 부속서의 표에 의한 전선 허용전류 선정방법(예) / 부속서 A의 표를 적용하는 방법 (0) | 2024.01.22 |
| 배선방식 외적영향에 관한 선정과 공사(IEC 60364-522) / 허용전류 (IEC 60364-523) (0) | 2024.01.19 |