
1. 변압기 기능 및 구조
저전류 고전압을 대전류 저전압으로 변환 또는 역변환
1) 변압기 외관 및 권선 배치


< Core type >


< Shell type >
2) 변압기의 주요 구성 요소
- core, yoke, clamping device
- primary, secondary, tertiary windings, R-spacer, V-spacer, conductor insulation
- winding insulation, bracing
- tank, cooler, conservator, other auxiliaries
- bushing, tap-changer, terminal
3) 적철심 코아
철심의 직경은 변하지 않고 철심의 단면적을 최대한으로 키우기 위해 철심 적층단을 늘려야 함.

설계자가 고려할 변압기 사용 조건
① 주위 온도 - 최대, 최소
② 주위 환경 - 폭발성 대기 조건(열대 기후 조건, 습도조건 등)
③ 고도
④ 옥내, 옥외, 옥상, 전주, 지하 설치
⑤ 소음 제약
⑥ 외형 치수의 제약
⑦ 기후 조건
⑧ 물류, 수송 조건
4) 설계자가 고려할 변압기 성능 특성
① 변압기 용량 (KVA)
② 1차 전압
③ 2차 전압
④ 상 수 - 단상, 삼상 등
⑤ 주파수
⑥ 결선 - Y, Δ 등
⑦ 절연 강도
⑧ 과부하 용량
⑨ 온도 상승
⑩ 손실 - 철손, 동손, 효율
⑪ 소음
⑫ 임피던스, 누설 리액턴스
⑬ 전압 변동율
* 기타 고려 사항 - 냉각 방식
단락시의 기계적 강도
tap 범위
2. 변압기 모델 및 여자

1) 변압기 1차측에 직류여자
- 과도상태 ( 무부하 )
① 철심의 자화곡선
② 유도전압 변화 (역기전력, Lenz's law)
③ 전류 변화
④ 자속 변화
⑤ 인가 전압


2) 변압기 1차측에 교류여자
- 정상상태 (무부하, 권선저항 무시)



3) 변압기 1차측에 교류여자
- 과도상태 (무부하, , 권선저항 무시)

4) 자속 및 돌입전류


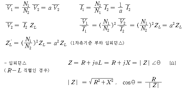
3. 이상적인 변압기
- 철손, 동손, 누설 무시, 투자율 무한대


1) 전압 및 자속의 실효값, 최대값

2) Phasor form


① 회로 요소 R 에서 전압 - 전류 phasor

② 회로 요소 L 에서 전압 - 전류 phasor

③ 회로 요소 C 에서 전압 - 전류 phasor

3) 변압기 등가회로 및 백터도


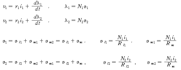
4. 변압기의 전압방정식

1) 순시방정식 ( 철손 무시 )


누설자속이 있을 시

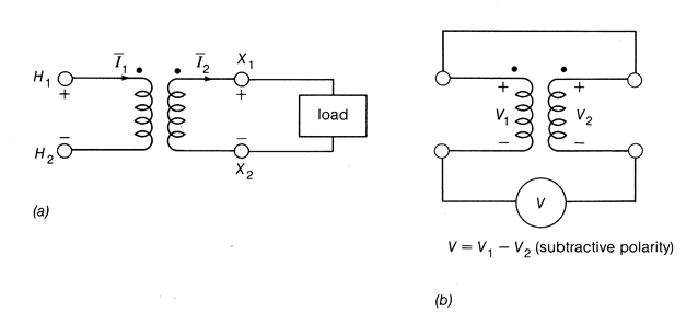
5. 변압기 극성
a) 극성 표시 : 고압측 H1, H2 / 저압측 X1, X2
b) 극성 시험 : 그림과 같이 결선하여 한쪽 권선에 전압을 인가하고 그림과 같이 측정하면
극성이 일치하는 경우에 V=V1-V2
극성이 일치하지 않는 경우에 V=V1+V2

6. 변압기 효율

근사등가회로에서,

https://electriceng.tistory.com/1099
변압기 리액턴스 계산방법 / 단권변압기(Autotransformer)의 설명
변압기 리액턴스 계산방법 / 단권변압기(Autotransformer)의 설명 1. 단권 변압기 1차, 2차 권선이 두 개인 일반적인 변압기는 두 권선이 자기적으로 결합하지만 전기적으로는 격리되어 있다. 단권변
electriceng.tistory.com
https://electriceng.tistory.com/1101
3상 변압기의 결선(3Phase Transformer Connections)
3상 변압기의 결선(3Phase Transformer Connections) 1. 3상 회로 경제성 및 운전상의 장점으로 3상 시스템이 발전, 송전 및 큰 용량의 부하에서 사용되고 있다. < Fig01. (a) 시간영역에서 3상 파형 (b) 정상 (a-b
electriceng.tistory.com
https://electriceng.tistory.com/1102
변압기의 코어 종류(Transformer Iron Core Type)
변압기의 코어 종류(Transformer Iron Core Type) 1. 변압기의 철심구조 변압기에 사용되어지고 있는 코어 제작에 많은 종류들이 있어왔습니다. 일반적으로 코어는 다음과 같은 범주로 나눠질 수 있다.
electriceng.tistory.com
| 3상 변압기의 결선(3Phase Transformer Connections) (0) | 2024.02.01 |
|---|---|
| 변압기 리액턴스 계산방법 / 단권변압기(Autotransformer)의 설명 (0) | 2024.01.30 |
| 변압기 기초원리 및 이론(Transformer Basics and Principles) (0) | 2024.01.26 |
| IV전선 허용전류(Current carrying capacity) 구하는 공식 (0) | 2024.01.24 |
| KS C IEC 60364-5-52 부속서의 표에 의한 전선 허용전류 선정방법(예) / 부속서 A의 표를 적용하는 방법 (0) | 2024.01.22 |