
1.열저항 계산
열저항 계산은 케이블 내부 각 부분의 열저항 T1, T2 및 T3와 케이블의 외부 환경에 의한 외부 열저항 T4로 나누어 계산한다.
절연체와 방식층 및 케이블을 구성하는 주변 매질의 열저항은 표 I-4와 같다.
케이블 내의 열회로를 고려할 때 금속성 테이프의 차폐층은 도체 또는 시스의 한 부분으로 고려한다.
<표 I-4> 열 저항률

(1)도체와 시스간의 열저항 T1

여기서,ρ1 = 절연체의 열저항률 [℃-m/W]
dc = 도체의 직경 [mm]
t1 = 도체와 시스간의 절연체 두께 [mm]
(2)시스와 아모아간의 열저항 T2
시스와 아모아간의 열저항 T2 는 동심중성선 케이블에서는 아모아가 없으므로 고려하지 않
는다.
(3)외피의 열저항 T3

여기서, t3 = 외피의 두께[mm]
Da' = 외피의 내부직경[mm]
(4)외부 열저항 T4
(가)단독 매설시
단독케이블이 직접 토양에 매설되어 있을 때의 외부 열저항 는 식 I-17과 같다.

여기서, ρT = 토양의 열저항률[°K-m/W]
u = 2L/Dc
L = 지표로부터 케이블(혹은 관로)중심축 까지의 거리[mm]
Dc = 케이블의 외부직경[mm]

(나)다중 포설시
1) 동종 케이블이 평형 부하인 경우
평형부하 동종 케이블의 상시 허용전류는 케이블 중 가장 온도가 높은 케이블에 의해
결정되며 온도가 가장 높은 케이블은 설치 구조로부터 정해진다.이 경우 p번째 케이블
의 외부 열저항 T4는 케이블간의 상호 가열효과를 고려해서 중첩법에 의해 다음 식으
로부터 구한다.

위 식에서 dpq 및 dph'는 그림 Ⅰ-2와 같이 각각 p번째 케이블의 중심에서 k번째 케이블 중심까지의 거리와 k번째 케이블이 지면위에 투영된 영상케이블의 중심점까지의 거리를 나타낸다.

2) 불평형 부하인 경우
불평형 부하에 대한 상시 허용전류는 동종 케이블의 평형부하조건의 계산과 같으나 다음과 같은 것이 다르다.
첫째,외부 열저항 T4는 직매포설시의 외부 열저항의 식 I-17과 같으며,상시허용전류 계산식인 식 I-1의 분모에 사용되는 T4에 각각 대입된다.
둘째,도체 온도상승분 △θ는 타 케이블의 손실에 의한 온도 상승분 △θP만큼 감소시킨다. 즉 p번째 케이블에 대한 타 케이블에 의한 온도 상승분 △θP는 식 Ⅰ-19와 같이 계산된다.
△θP = △θ1P + △θ2P + ··· + △θQP
(k=p인 △θPP는 제외)
여기서,△θkp = k번째 케이블에서 방산되는 전력손실 Wk에 의한 p번째 케이블의 표면 온도 상승분

< Fig01. 케이블군과 그 영상케이블간의 거리 >
식 I-19와 같이 타 케이블에서 단위 길이당 방산되는 손실 Wk는 미리 정해져 있어야 하는데,불평형 부하의 상시 허용전류 계산은 초기값(허용전류)을 가정하여 각 케이블에 대한 손실 Wk를 계산하고 임의의 p번째 케이블에 대한 상시 허용전류를 계산하여 초기에 가정한 p번째 케이블의 허용전류와 손실을 수정한다.
순차적으로 나머지 케이블에 대한 허용전류 및 손실을 계산하여 초기에 가정한 허용전류를 수정해 가는 과정을 반복한다.이 반복계산은 현재 계산된 허용전류와 바로 그 이전단계에서 계산된 허용전류를 비교하여 그 오차가 허용범위 내에 있으면 종료하게 된다.
(다)관로 포설시
관로포설시 외부열저항 계산은 다음과 같이 세 부분으로 나누어 계산하여 계산된 결과를 대수적으로 합한다.
① 케이블 표면과 관로내부 표면사이의 열 저항 T4'
② 관로 자체의 열저항 T4''
③ 관로의 외부열저항 T4'''
1)케이블과 관로 내부표면 사이의 열저항 T4'

여기서 U,V,Y : 표 1-5에 주어진 관로 설치 형태별 상수
Dc : 케이블의 등가 직격[mm]
n : 관로내에 존재하는 도체 또는 케이블 수
매질의 평균온도 θm은 계산초기에 임의의 값으로 가정하고 수정이 필요하다면 계산과정에서 수정한다.
<표 I-5>상수 U,V,Y의 값

2)관로 자체의 열저항 T4''
관로 자체의 열저항은 아래 식과 같이 계산된다.

여기서,D0 : 관로의 외부직경 [mm]
Dd : 관로의 내부직경[mm]
ρT = 관로재료의 열정항율 [℃-m/W]
n = 관로내 케이블 수
3)관로의 외부 열저항 T4'''
관로의 외부 열저항 T4'''의 계산은 관로외부에 원토와 열저항률이 다른 되메움재 혹은 콘크리트 포장의 유무에 따라 계산방법에 차이가 있다.
되메움재 혹은 콘크리트 포장이 없는 경우에는 직매포설시의 식 I-17과 다중 포설의 식I-18및 식 I-19를 조합하여 그대로 적용할 수 있다. 그러나 되메움재 혹은 콘크리트 포장이 있는 경우에는 다음과 같은 순서로 계산한다.
첫째,식 I-17,식 I-18및 식 I-19에 사용되는 열저항을 되메움재 혹은 콘크리트 포장의 열저항률로 대입한다.
둘째,열저항률의 차이를 보상하는 방법으로 식 I-22를 식 I-17또는 식 I-18에 산술적으로 더한다.

여기서,N : 되메움재 내부에 부하가 걸린 케이블의 수
ρe : 원토의 열저항률[°K-m/W]
ρc :되메움재의 열저항률 [°K-m/W]
U : LG/rb
LG = 되메움재의 중심깊이
rb = 되메움재의 기하학적 등가반경

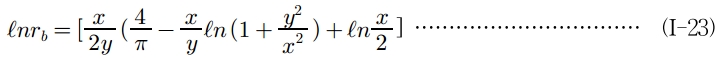
되메움재의 기하학적 등가반경 rb는 다음 식을 사용하여 구한다.

여기서,x = 되메움재의 단축의 길이[mm]
y = 되메움재의 장축의 길이[mm]
| 모터 결선도(단전압 / 양전압) (0) | 2023.08.07 |
|---|---|
| 전력케이블 허용전류계산 - ③불평형 부하계산 (0) | 2023.08.04 |
| 전력케이블 허용전류 계산 - ①손실계산 (0) | 2023.08.02 |
| 볼트 조임 토크 테이블(토크렌치 강도표) (0) | 2023.07.28 |
| 모터의 효율(Motor Efficiency) 계산방법 (0) | 2023.07.26 |