
1. 상시 허용전류
[적용기준 :IEC60287시리즈]
상시 허용전류는 정상상태에서 도체온도가 최고 허용온도로 유지하도록 허용하는 100% 부하율의 연속 허용전류를 말하며,이때 정상 상태란 충분히 긴 시간 동안 전압이 인가되어 유전체 손실에 의한 온도의 과도상승이 없으며 케이블 주변 매질이 안정화 된 상태를 말한다.상시 허용전류를 계산하기 위한 케이블의 열 회로는 그림Fig01과 같이 전기회로로 등가화 시킬 수 있다.

< Fig01. 22.9kVCNCV케이블의 정상상태 열회로 >
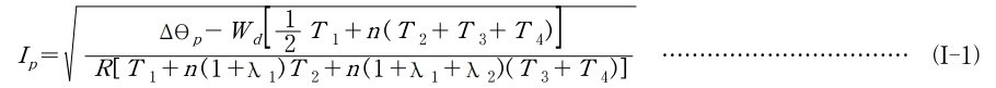
시설된 케이블의 종류 및 규격이 같고 부하조건이 같은 경우 상시 허용전류 Ip는 다음과 같다.

△θp = 도체온도 상승분
Wd = 유전체 손실[W/m]
R = 교류도체 실효저항[Ω/m]
λ1 = 도체손실과 시스손실의 비(WS/WC)
λ2 = 도체손실과 아모아 손실의 비(Wa/Wc)
Ws = 시스 손실(W/m)
Wc = 도체 손실(W/m)
Wa = 아모아 손실(W/m)
T1 = 도체와 시스간의 열저항[C°-m/W]
T2 = 시스와 아모아간의 열저항[C°-m/W]
T3 = 케이블 외피의 열저항[C°-m/W]
T4′ = 케이블 표면에서 관로내부까지의 열저항[C°-m/W]
T4″ = 관로 자체열저항[C°-m/W]
T4′ ″ = 관로의 외부열저항[C°-m/W]
T4 =T4′+T4″ +T4′″
Wk = 他 케이블에서 발생한 총 손실
k = 1,… ,NC(k≠p)
NC = 케이블 회선수 혹은 관로수
n = 심선
22.9kVCNCV케이블에 대한 상시허용전류를 계산할 때는 식 I-1에서 λ2와 T2항은 고려하지 않으면 심선수 n은 1이 된다.
2. 손실계산
(1)도체전류에 의한 손실 Wc
도체전류에 의한 손실은 교류실효저항 R에 부하전류를 제곱해서 곱한 것이므로 손실계산은 교류실효저항 R을 구하는 것이 된다.
최고 허용온도에서의 도체 단위 길이당 교류실효저항 R은 식 I-2와 같이 계산된다.

여기서,R0=20℃에서 직류 도체저항[Ω/m]
k1=최고허용온도와 20℃에서의 직류도체 저항비
k2=직류와 교류의 도체 실효 저항비
(가)20℃에서 직료 도체저항 R0
일반적으로 정의할 수 있는 직류도체저항 R0는 식 I-3과 같다.

식 I-3에서 A는 도체단면적(mm2)이며,ρ는 20℃에서 도체의 전기저항률이며 도체 및 시스의 재질에 따른 전기저항률과 온도계수는 표 I-1과 같다.
<표 I-1>케이블에 사용되는 금속의 전기저항률과 저항온도계수

(나)최고 허용온도에서의 직류 도체저항 R′
최고 허용온도 θc가 주어지면 최고 허용온도와 20℃에서의 직류 도체 저항비 k1은 식 I-4와 같다.

여기서,α20 = 20℃에서의 저항 온도계수
θC = 도체 최고 허용온도[℃]
따라서 최고 허용온도에서 직류 도체저항 R′는 식 I-5와 같다.

식 I-4에서 α20은 표 I-1에서 나타낸 것과 같으며 도체 최고 허용온도 θC는 절연체의 열화특성에 따라 결정되는 것으로써 XLPE케이블인 경우 표 I-2와 같다.
<표 I-2> XLPE케이블 도체 최고 허용온도(℃)

(다)교류와 직류의 도체 저항비 k2
교류도체 실효저항 R과 직류도체 실효저항 R′의 비 k2는 아래식과 같다.

여기서,ys = 표피효과계수
yp = 근접효과계수


Xs:공식에 의해 산출되는 표피효과 함수


dc = 도체직경[mm]
S = 도체축간의 간격[mm]
(2)유전체 손실
유전체 손실은 인가전압의 크기,절연재질의 유전율 및 유전정접에 따라 결정된다. 표 I-3은 절연재질별 유전율과 유전정접을 나타내고 있다.
<표 I-3> 절연체의 유전율과 유전정접

단위 길이당 각 상의 유전체 손실의 식 I-9와 같이 계산한다.

여기서,ω = 2πf
C = 단위길이당 정전용량[F/m]
U0 = 대지전압[V]
tanδ = 유전정접
원형도체에 대한 정전용량은 C는 식 I-10과 같다.

여기서,ε = 절연체의 유전율
Di = 절연체의 외부직경[mm]
dc = 도체직경[mm]
(3)시스와 차폐층의 손실율
시스 또는 차폐층내의 전력손실율 λ1은 순환전류에 의한 손실율 λ1', 와전류에 의한 와전류손 λ1'' 로 구성되며 아래 식과 같다.

22.9kV급 배전계통은 순환전류에 의한 손실 λ1′만을 고려하며 식 I-12와 같이 구한다.

여기서,Rs = 시스 또는 차폐층의 저항[Ω/m]
X = 케이블 단위 길이당 시스 또는 차폐층의 리액턴스[Ω/m]

d = 시스의 평균 직경[mm]
s = 케이블 중심간격[mm]
(가)시스 저항 Rs
시스 저항 Rs를 계산하기 위해 사용된 전기저항률 및 온도계수는 표 I-1과 같다.
1)테이프형 시스
테이프형 시스의 시스저항은 식 I-13과 같이 계산된다.

여기서,ds2 = 시스 외경[mm]
ds1 = 시스 내경[mm]
ρs = 시스의 전기저항률
α20 = 저항온도계수
ks = 시스의 겹침율
θs = 시스의 최고허용온도[℃]
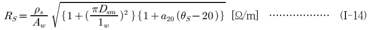
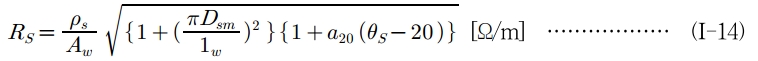
2)동심중성선
동심중선선의 저항은 식 I-14와 같이 계산된다.

여기서,Aw = 중성선의 총 단면적[㎟]
Dsm = 중성선층의 평균직경[mm]
1w = 중성선의 권선 피치[368mm]
θs = 시스의 최고허용온도[℃]
| 전력케이블 허용전류계산 - ③불평형 부하계산 (0) | 2023.08.04 |
|---|---|
| 전력케이블 허용전류 계산 - ②열저항 계산 (0) | 2023.08.03 |
| 볼트 조임 토크 테이블(토크렌치 강도표) (0) | 2023.07.28 |
| 모터의 효율(Motor Efficiency) 계산방법 (0) | 2023.07.26 |
| 3상 모터(3Phase Motor) 결선방법 / 결선시 주의사항 (0) | 2023.07.25 |