
1. Percentage Method(퍼센트 임피던스법)의 개요
어떤 양을 나타내는데 그 절대량이 아니고 기준량에 대한 비로서 나타내는 방법을 단위법이라고 한다. 또, 이것을 100배 한 수로서 나타내는 방법이 백분율법, 즉 퍼센트(%)법인 것이다.
1) %법이나 단위법을 사용할 때의 장점
· 값이 단위를 가지지 않는 무명수로 표시되므로 계산하는 도중에서 단위를 환산할 필요가 없다.
· 식 중의 정수 등이 생략되어서 식이 간단해진다.
· 기기 용량의 대소에 관계없이 그 값이 일정한 범위내에 들어가기 때문에 기억하기 쉽다.
따라서, 전력계통에서는 임피던스의 값을 으로 나타내는 대신에 %로 나타내는 경우가 많다. 임피던스는 사용하는 전압에 따라 그 값이 각각 달라지고 있기 때문에 하나의 계통전압의 기준값을 정하고 각 부분의 임피던스를 이 기준인 전압값에 맞추어서 환산해 준 다음에 집계하여야 한다. 이에 대하여 %임피던스는 이러한 번거로움이 없이 각 부분의 값을 그대로 집계해 갈 수 있다는 특징이 있다.
2) % 임피던스의 정의
임피던스 Z[]이 접속되고 E[V]의 정격 전압이 인가되어 있는 회로에 정격전류 I[A]가 흐르면 ZI[V]의 전압강하가 생긴다. 이전압강하분 ZI[V]가 회로의 정격전압 E[V]에 대해서 몇[%]에 해당되는가 하는 관점에서 E[V]에 대한 ZI[V]의 비를 %로 나타낸 것이 %임피던스인 것이며, 여기서는 이것을 %Z로 나타낸다. 즉

로 표시된다. 여기서 I[A]는 정격전류를 표시한다.
이것을 사용하면 임피던스처럼 전압에 대한 환산이 필요없게 되어 아주 편리하다.
2. 단락전류 계산에 사용되는 임피던스
전원으로부터 사고점까지로 생각되는 임피던스의 구성요소는 다음과 같다.
1) 수전변압기 1차측 임피던스
전력공급자로부터 제시된 단락용량에서 산출되며, 구해진 값은 리액턴스로 생각해도 좋다. 일반적으로 고압수용가의 선정,정정은 전력공급자로부터 제시된 단락용량을 가지고 검토하면 좋다.
2) 수전변압기 임피던스
변압기 임피던스는 주로 1차전압 및 변압기의 용량에 의해 결정된다. 일반적으로 변압기의 임피던스는 리액턴스로 간주해도 지장이 없다.
· 1,2차 전압 및 변압기 용량에 의해서 결정된다.(리액턴스만 고려해도 지장이 없다)
· 유입식>몰드, 소용량<대용량
3) 전동기 리액턴스
회로에 사고발생시 수사이클(1/2~2cycle)동안 전동기는 발전기 역할로 단락전류를 공급하게 된다. 동기발전기는 타여식이므로 비교적 감쇠가 늦지만 유도전동기는 잔류자속만으로 발전을 행하므로 4-Cycle 정도에서 소멸한다. 이 때문에 차단기의 동작시간이 빠른 저압회로에서는 보통 전동기의 발전작용을 계산에 넣을 필요가 있다. 고압회로에서도 전력퓨즈를 선정하는 경우에는 고려하지 않으면 안된다. 특히 고압전동기가 있는 경우에 저압측의 사고인 경우는 고압 전동기의 전동기의 발전작용을 고려하지 않아도 좋다.
유도전동기의 임피던스는 그 출력에 따라 다르지만 저압 전동기에서는 25%(정격전류의 4배), 고압전동기에서 20%(정격전류의 5배)로 생각해도 별차이가 없다. 또한, 전동기의 임피던스는 리액턴스로 생각해도 지장이 없다.
4) 전선로 임피던스
저압계통에서는 케이블,버스덕트의 임피던스가 단락전류 억제에 큰 역할을 한다. 특히, 저압회로에 있어서는 이 효과가 심하므로 이것을 무시하면 설비비가 많이 소요될 뿐 아니라 완전단락 발생시에 보호기가 동작하지 않을 우려도 있다. 따라서 케이블,버스덕트의 리액턴스 및 저항을 고려하여야 한다.
3. 단락전류(단락용량)의 계산순서
1) 기준용량의 결정(용량,전압,전류,임피던스)
공급측에서 단락용량 제공(MVA)
기준전압 = Vs = Vt (전압은 고장점을 기준으로 한다.)
기준용량 = Ps = Pt[KVA](변압기의 정격치로 사용하면 좋다.)
기준전류 = Is = It [A]
기준임피던스

최근의 배변전의 변압기 용량은 10~20[MVA]의 것이 채용되고 있으므로 모선의 단락용량을 150[MVA]로 간주하여 선로 임피던스에 따라 수전점 단락용량을 150,100,50,25 [MVA]로 변화시키고 있다.
고압수용가의 변압기 임피던스는 4%와 2.5%의 2종류에 대해서 계산한다. 물론 고장전류는 정격전류로부터 그 점에서 발생하여 얻은 최대치까지의 사이에 연속적으로 존재하므로 이것을 고려해서 검토하여야 한다. 단, 변압기용량도 크고 선로의 길이도 짧을 때에는 수전 단락용량을 150[MVA]로 하여 차단기를 선정하면 좋다.
2) 각 임피던스의 변환
선로정수를 기준용량에 의한 %Z'로 환산 %Z' = %Z·기준용량/%Z의 설비용량
변압기 1차측 리액턴스 : %X1
확실하지 않은 경우에는 변압기 1차측 차단기의 정격차단용량으로부터 구한다.

단, Q : 1차측 단락용량[MVA]
변압기 임피던스 : %Zt
변압기 임피던스는 일반적으로 %임피던스로 표시된다. 기준용량 = 변압기용량으로 한 경우에는 %Zt를 그대로 사용한다.
기준용량과 변압기용량이 다른 경우에는 다음식에 따라 기준용량 Base로 역산한다.

(다른 용량으로 %Z 변환식)
- 단상 변압기인 경우에는 등가적으로 3상변압기로 간주하여 구해진 전류치를 √3/2배 한다.
전동기 리액턴스 : %Xm
일반적으로 전동기 용량은 KW로 표시되어 있으므로 KVA로 환산한다.
KVA로 환산 ≒ 1.5 × (전동기 출력 KW)
%Z'm = 20~25%로 하여 기준용량 Base로 환산한다.

(다른 용량으로의 변환식)
버스덕트,케이블의 임피던스 : %Zc
일반적으로 단면적(버스덕트의 경우는 정격전류) 및 길이로 표시된다.
Zc[Ω] = (단위길이당의 저항치) × 길이 (이것을 %치로 환산한다.)

(Ω치로 주어진 경우의 %치 환산식)
똑같은 굵기의 전선을 2가닥 병렬로 사용하는 경우에는 길이를 1/2로 해서 계산한다. 또한 케이블 또는 버스덕트가 전압이 다른 회로에 사용되는 경우에는 Ω치를 기준전압 Base로 변환한 후 %치로 환산한다.
3) 고장점 선정
4) 임피던스 MAP작성 및 임피던스 MAP 등가화
순서 2에서 구한 임피던스에 의해 임피던스 MAP을 작성한다.
전원, 전동기 등 단락전류 공급원은 임피던스 MAP에서는 동전위이므로 부도1(a)와 같이 무한 대 모선에 이것을 연결, 이것과 고장점 사이에 있는 임피던스의 직렬,병렬을 주의해서임피던스 MAP를 작성한다.

5) 임피던스의 합성

부도1(b)의 임피던스 MAP으로부터 직병렬 계산에 의해 부도1(c) 와 같이 임피던스를 계산한다.

6) 계산식 적용
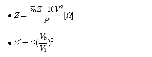
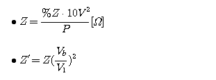
6-1) 퍼센트 임피던스

6-2) Ohm 임피던스

Z' : 기준용량으로의 환산임피던스
Vb : 기준전압
V1 : 1차전압
6-3) 단락전류(차단전류,대칭분)

단상 단락전류는 상기의 값을 √3/2배 한다.
6-4) 단락용량(차단용량)

단,
· In : 정격전류(A)
· Ps : 단락(차단)용량
· Pn : 정격용량
· %Z : (KVA)에 대한 %임피던스
· %Z' : (KVA)'에 대한 % 임피던스
· V : 선간전압
· Is : 단락전류
★ 차단기의 선정은 정격전류 및 계산한 단락용량을 기준하여 전기적,열적, 기계적 강도를 고려하여 여유(일반적으로 단락용량은 계산 치의 120-160%)를 두어 선정한다.
7) 차단기 선정 및 계전기 정정
차단기는 제조업체의 표준형을 채댁한다.
4. 저압회로의 단락전류계산
1) 계산시고려사항
전원(한전배선선로)의 임피던스는 무시하고 단순히 변압기 임피던스, 케이블 임피던스, 운전중인 전동기임피던스, 배선방식(일반적으로 방사상이나 네워크운전의 경우를 배려한다), 병렬운전되는 저압발전기, 병렬운전되는 변압기
2) 단락전류 계산시의 사고점 기준
· 배전반 변압기 주차단기(ACB 또는 MCCB)의 경우
변압기 2차측에서 모선까지의 전로가 케이블 또는 절연전선의 경우에는 당해 전로의 말단에서 발생한 단락전류의 값으로하고, 나도체인 경우에는 주차단기의 부하측단자에서 단락사고가 발생한 것으로 한다.
· 배전반에서 분전반에 이르는 간선용차단기(MCCB)의 경우
배전반 차단기의 2차측에서 분전반에 이르는 전로가 케이블 또는 절연전선의 경우에는 당해 전로의 분전반 주차단기의 전원측에서 발생한 단락전류의 값으로하고, 나도체인 경우에는 간선용차단기의 부하측단자에서 단락사고가 발생한 것으로 한다.
· 분전반에서 각각의 부하에 이르는 분전반의 주차단기의 경우
분전반 주차단기의 2차측단자에서 단락이 발생한 것으로 한다.
· 각각의 부하에 이르는 분기차단기의 경우
전로에 접속된 최초 접속된 부하의 1차측에서 단락이 발생한 것으로 한다.
| 전기설비의 소음발생(Noise) 원인 및 대책 - Phon & Decibel (0) | 2022.06.30 |
|---|---|
| Per Unit Method(단위법:p.u)의 개요 및 리액턴스 계산 (0) | 2022.06.29 |
| Ohm Method(오옴법) 및 단락전류의 계산식 (0) | 2022.06.27 |
| 수변전설비의 접지설계방법 - 접지전류 및 접지방식의 선택 (0) | 2022.06.24 |
| 지락전류(Earth Fault Current) - 지락전류의 개요 및 지락의원인 (0) | 2022.06.23 |