
1. 펌프기동방식
1) 수동기동방식
직접 조작이나 원격조작에 의하여 유수검지장치 등을 동작시켜 펌프를 기동시키는 방식 - 직접 조작의 경우는 시험밸브 또는 수동기동 밸브를 이용할 수 있으며 , 원격조작의 경우에는 SVP를 이용한다.
2) 자동 기동방식 : 옥내소화전 준용
① 폐쇄형 헤드의 경우
헤드의 개방에 의한 유수검지장치 또는 기동용 수압개폐장치의 작동과 연동하여 펌프를 기동한다.(또는 이 두가지의 혼용에 의하여 작동한다.)
② 개방형 헤드의 경우
자동화재탐지설비의 감지기 작동에 의한 일제개방밸브의 작동 또는 기동용수압개폐장치의 작동과 연동하여 펌프를 기동한다.(또는 이 두가지의 혼용에 의하여 작동한다.)
2. 중간펌프
① 펌프를 이용하는 가압송수장치는 건물높이가 60m를 초과할 경우 중간가압송수장치를 별도로 설치하는 것이 바람직하다. 고층건물의 경우 스프링클러의 펌프양정이 120m를 초과할 우려가 있으며, 이 경우 상한압인 1.2MPa를 초과하게 된다. 따라서 이를 방지하기 위하여 중간 가압펌프를 설치한다.
② 별도의 펌프 및 수원을 중간부에 설치하여 High zone과 Low zone으로 시스템을 분리한다.
3. 가압송수장치 성능 기준
① 방사압(기준개수별) = 0.1MPa ~ 1.2MPa이하여야 한다.
② 방사량(기준개수별) = 80(ℓ /min)이상
4. 펌프의 상사법칙
비속도가 같으면 펌프의 크기가 다른 경우에도 이를 상사(相似)라고 한다. 원심펌프가 상사인 경우 회전수(N)나 임펠러 지름(D)에 따라 토출량(Q), 양정 (H), 축동력(L)이 변하게 된다.
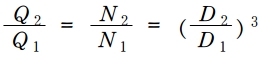
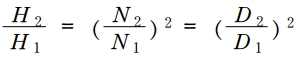
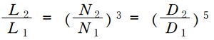
1) 펌프 2대가 상사일 경우
2대의 펌프가 크기가 다르고(D1≠ D2) 회전수가 다를 경우(N1≠ N2) 토출량, 양정, 축동력의 관계는 다음과 같다.
① 토출량 : 회전수에 비례하며 , 지름의 3승에 비례한다.

② 양 정 : 회전수 및 지름의 2승에 비례하여 양정이 증가한다.

③ 축동력 : 회전수의 3승, 지름의 5승에 비례하여 축동력이 증가한다.

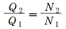
2) 1대의 펌프를 다른 속도에서 운전할 경우
① 유량 : 유량은 “회전속도”와 정비례 한다.

· Q(토출량)
· N(회전수)=r.p.m

* r.p.m이란 revolution per minute의 약자로 분당 회전수를 의미한다.
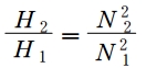
② 양정 : 양정의 “회전속도의 제곱”에 정비례 한다.

· H(양정 )
· N(회전수) = r.p.m

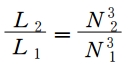
③ 축동력 : 축동력은 “회전속도의 세제곱”에 비례한다.

· L(축동력)
· N(회전수) = r.p.m

5. 펌프의 양정계산
펌프의양정 H(m) = H1+ H2+10m
· H1 = 건물높이의낙차(m)
· H2 = 배관의마찰손실수두(m)
| 물분무 소화설비의 설치기준 (0) | 2024.10.24 |
|---|---|
| 간이스프링클러설비(캐비넷형 스프링클러)의 설치대상 (2) | 2024.10.23 |
| 스프링클러헤드 설치기준 및 온도표시 (0) | 2024.10.21 |
| 스프링클러설비의 설치기준 (3) | 2024.10.15 |
| 옥내소화전 호스릴 설비 및 옥외소화전 설비 (2) | 2024.10.11 |