
1. 분말소화기의 소화효과
분말소화기는 가장 대중화된 소화기로써 소화약제의 소화특성에 따라 제1종, 제2종, 제3종, 제4종으로 분류할 수 있으며 , 제1종과 제2종은 유류화재(B급)와 전기화재(C급)에만 적응성이 있고, 제3종 분말소화기는 A B C급 모두 적응성이 있어 소방대상물에 가장 많이 설치되고 있다. 제3종 분말소화기는 약제의 충약 무게에 따라 보통 2.5 kg, 3.3 kg, 4.5 kg 소화기가 많이 생산되고 있다.

< Fig01. 축압식 분말소화기 >
1) 소화약제의 종류 및 소화효과
1-1) 1종 분말소화 약제
① 소화약제 : NaHCO 3 (탄산수소나트륨)
② 반응식 : 2 NaHCO 3 = Na 2 CO 3 + CO 2 ↑ + H 2O
③ 소화효과
◦ 질식작용 : CO2, H2O / 냉각작용 : H2O 생성 및 흡열반응
◦ 희석작용 : 분말미립자 / 부촉매작용 : Na에 의한 부촉매 작용
◦ Knock Down 효과 : 분말이 불꽃과 연소물질을 입체적으로 포위하여 부촉매 작용에 의해 연소의 연쇄반응을 중단시켜 순식간에 불꽃을 사그라지게 하는 작용
◦ 비누화현상 : 소화약제 방사시 금속비누를 만들고 이 비누가 거품을 생성하여 질식효과를 갖는다. 따라서 1종 분말약제는 식용유 화재에 적응성이 있다.
④ 적응성 : 전기화재, 유류화재
1-2) 2종 분말소화 약제
① 소화약제 : KHCO 3 (탄산수소칼륨)
② 반응식 : 2 KHCO 3 = K 2 CO 3 + CO 2 ↑ + H 2O
③ 소화효과
1종소화약제와 동일(비누화현상은 없으며 , 1종보다 소화효과가 2배 크다, 이는 알칼리금속에서 원자번호가 클수록 반응성이 커지기 때문에 소화력도 더 우수해 지는 특성을 지니고 있다. 즉, 금속의 반응성은 Na< K< Rb< Cs< Fr 이며 Rb, Cs, Fr는 경제성으로 인하여 소화약제로 사용되지 않는다.
④ 적응성 : 전기화재, 유류화재
1-3) 3종 분말소화 약제
① 소화약제 : NH 4․ H 2 PO 4 (인산염)
② 반응식 : NH 4․ H 2 PO 4 → HPO 3 (meta인산)+ NH 3 ↑ + H 2O
③ 소화효과
◦ 질식작용 : NH3, H2O
◦ 냉각작용 : H2O 생성 및 흡열반응
◦ 희석작용 : 분말미립자
◦ 부촉매 작용 : NH4+
◦ Knock Down 효과 : 분말이 불꽃과 연소물질을 입체적으로 포위하여 부촉매 작용에 의해 연소의 연쇄반응을 중단시켜 순식간에 불꽃을 사그라지게 하는 작용
◦ 방진작용 : HPO3
◦ 탄화탈수 : H3PO4
④ 적응성 : 유류, 전기, 일반화재 등 다양하게 적용
1-4) 4종 분말소화 약제
① 소화약제 : KHCO3 + (NH2)2CO (탄산수소칼륨과 요소)
② 반응식 : 2KHCO3 + (NH2)2CO → K2CO3 + 2NH3 + 2CO2
③ 소화효과
◦ 질식작용 : NH3, CO2 / 냉각작용 : 흡열반응
◦ 희석작용 : 분말미립자
◦ Knock Down 효과 : 분말이 불꽃과 연소물질을 입체적으로 포위하여 부촉매 작용에 의해 연소의 연쇄반응을 중단시켜 순식간에 불꽃을 사그라지게 하는 작용
◦ 부촉매 작용 : NH4
※ 단점 : 고가이며 국내에는 생산되지 않음
※ 소화기 종류별 소화효과와 적응성
|
구 분
|
소화효과
|
적응성
|
||||||
|
냉각
|
질식
|
억제
|
A급
|
B급
|
C급
|
|||
|
포말소화기
|
○
|
◎
|
|
○
|
○
|
|
||
|
가스계소화기
|
CO2소화기
|
○
|
◎
|
|
|
○
|
○
|
|
|
할론소화기
|
1211
|
|
△
|
◎
|
○
|
○
|
○
|
|
|
1301
|
|
△
|
◎
|
○
|
○
|
○
|
||
|
분말계소화기
|
ABC급
|
△
|
○
|
◎
|
○
|
○
|
○
|
|
|
BC급
|
△
|
○
|
◎
|
|
○
|
○
|
||
※ 소화효과 : 매우 큼 ◎ , 보통 ○ , 작음 △
2. 분말소화기의 구조
1) 축압식
소화기의 용기 내부에 소화약제를 방사시키기 위한 압력원으로서 질소 또는 이산화탄소를 축압시킨 후 소화기 작동시 축압된 가스압력에 의해 소화약제를 방사시키는 소화기를 말한다.

< Fig02. 축압식 분말소화기 구조 >
2) 가압식
소화기 내부 또는 외부에 별도의 압력용기를 설치한 후 소화기 작동시 압력용기내의 가스압력에 의해 소화약제를 방사시키는 소화기를 말한다.

< Fig03. 가압식 분말소화기 구조 >
3. 할론소화기의 소화효과
할로겐화합물을 용기에 충약한 것으로 부촉매, 질식, 냉각에 의한 소화효과를 기대할 수 있다.
할론 1301의 경우는 자체증기압으로 방사 가능하기 때문에 가압 가스를 별도로 충약하지 않으며 , 기타 할론 소화기는 가압용가스(질소)를 혼합하기도 하기도 한다. 보통 차량용 간이소화용구(할론1211)나 일반소형소화기로 생산되고 있다.
1) 소화약제의 종류 및 소화효과
① 소화약제 : CF 3Br (1301) CF 2ClBr (1211)
② 소화약제 명명법 : 1 3 0 1
C원자수 F원자수 Cl원자수 Br원자수
③ 소화효과 : 부촉매작용, 질식작용, 냉각작용
④ 억제소화 (부촉매 소화)
· 원리 : “가연물질에 함유되어 있는 수소(H), 산소(O) 원자가 점화에너지를 공급받아 활성화되어 생성되는 수소기(H*), 수산기(OH*)가 화학적으로 제조된 할로겐 화합물 소화약제 내의 할로겐 원소인 F, Cl, Br 등과 화학적으로 반응하여 더 이상 연속적인 연소의 연쇄반응이 진행되는 것을 방해, 억제 또는 차단시켜 소화시킨다.”
2) 연쇄반응 억제
OH + H₂ → H₂ O + H(발열전파반응)
H + O₂ → OH + O (연쇄분기반응)
OH + HBr → H₂ O + Br(억제반응)
Br + CH₃ H(RH) → HBr + CH₃ (R)(재생반응)
3) 연쇄반응 억제
할로겐 화합물 등을 첨가하여 OH와 같은 활성라디칼인 연쇄 전달체를 포착함으로서 연쇄반응을 중단시키는 작용을 한다. 즉, 탄화수소계의 수소 등이 할로겐원소로 치환됨으로서 활성화에너지가 커지게 때문에 가연성 물질이 불연화되어 반응이 중단되는 효과를 나타낸다.
4) 적응성
① 1211 - 유류, 전기, 일반화재
② 1301 - 유류, 전기, 일반화재
4. 할론소화기의 구조 및 특성
1) 할론 1301 - 압력계 없음, 할론 1211 - 압력계 설치
할론 1301은 상온 20℃에서 약 1.4Mpa 압력을 나타내어 자체 증기압으로 방사 가능하나, 1211의 경우 상온에서 0.24Mpa 압력으로 방사압이 낮기 때문에 질소가스를 축압하고 압력계를 설치한다.

< Fig04. 할론소화기의 특성 >
2) 특 성
① 오존층 파괴 및 지구온난화의 영향을 미친다.
② 할론 소화기 방사시 실내 또는 화염의 온도가 500℃ 이상일 경우 HF, HCl, HBr 등 유해가스 발생하기 쉽기 때문에 지하층, 무창층, 밀폐된 거실 등에 비치하는 것을 제한하고 있다. 단, 할론 1301은 비점이 낮아 순간증발로 위험성이 낮기 때문에 지하층에 설치 가능하다.
5. 이산화탄소 소화기의 소화효과
이산화탄소(탄산가스, CO2)를 소화약제로 사용하는 소화기를 말한다. 이산화탄소를 저온에서 액화시켜 고압용기에 충약하기 때문에 소화약제 스스로 가압원이 되어 방사되는 형태이다. 따라서 이산화탄소 소화기를 자기증기압식소화기라고도 하며, 축압식 소화기의 형태이나 고압용기 특성상 압력계가 설치되지 않는 것이 특징이다.
1) 소화효과
① 소화약제 : Co 2 , 분자량 44, 상온에서 기체, 공기보다 무거움
② 소화효과 : 질식소화, 냉각소화
1-1) 질식소화
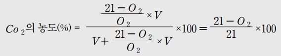
◦ 공기중에는 79% 정도의 N2와 21%정도의 O2가 있으며 , 산소의 농도가 약 15%정도로 낮아지면 질식소화가 된다.


1-2) 냉각소화(CO2의 성상)
① 융점(-79℃) 이하에서 고체상태로 존재(Dry ice)
② 임계점(31.35℃=304.2°K): 기체와 액체 혼합상태
③ 임계점 이상은 기체상태로만 존재
④ -57℃~31.35℃까지는 액상과 기상의 경계선
⑤ 충전비는 1.5로 충전된 가스의 온도에 따라 변함

2) 적응성 : 유류화재, 전기화재
상온에서 급격히 기화하여 공기중에 흩어지므로 일반화재 적응성이 없으며, 밀폐된 공간에서 충분한 농도로 Soaking time(최소 10분)이상으로 농도 유지시 소화가능하다.
6. 이산화탄소 소화기의 구조 및 특성
① Co 2 를 고압으로 압축하여 액화시킨 것으로 증기압(20℃, 6MPa)이 높아 방사시 자체 증기압으로 방사가능하다.
② 상온에서 고압 저장이므로 25MPa 내압시험에 합격한 고압용기를 사용한다.
③ 메탄, 이산화질소 등과 같이 지구온난화에 중요한 악영향을 준다.

< Fig05. 이산화탄소 소화기 >
주거용 주방자동소화장치는 아파트의 각 세대별 주방 및 오피스텔의 각실 별 주방에 설치하며 , 가스가 누설될 경우에는 누설가스를 탐지하여 자동경보를 하고, 수신반에 가스누설표시등을 점등하며, 가스밸브를 자동으로 차단할 수 있도록 되어 있다. 화재가 발생하면 화재의 열을 감지하여 가스밸브를 차단하고 소화약제를 자동방출 하여 소화한다. 그러나 가스만 누설될 경우에는 경보와 차단밸브를 작동시키나 소화약제는 방출되지 않는다.
1) 주거용 주방자동소화장치의 구성요소
1-1) 소화약제 방출구
방출구는 소화약제가 방출되는 부분으로서 환기구4)의 청소부분과 분리되어야하며 , 형식승인 받은 유효설치 높이 및 방호면적에 따라 설치해야 한다.
1-2) 감지부
화재시 열을 감지하는 부분으로서 자동화재탐지설비의 감지기와 같은 역할을 한다. 감지부는 온도를 감지할 수 있는 온도센서(Thermistor)가 부착되어 있으며, 형식승인 받은 유효한 높이 및 위치에 설치해야 한다. 1차 온도에서는 경보와 가스를 차단하고 2차 온도에서 소화약제가 방출되도록 한다.

< Fig06. 주거용 주방자동소화장치 >
1-3) 가스차단장치
가스가 누설되거나 화재가 발생할 경우 가스배관에 설치된 밸브를 구동력으로 자동차단하는 장치를 말한다. 주방배관의 개폐밸브로부터 2 m이하의 위치에 설치하되, 상시 확인 및 점검이 가능하도록 설치하여야 한다.
1-4) 탐지부
가스누설을 탐지하는 장치를 말하며 수신부와 분리하여 설치하되 , 가스가 누설되면 이를 탐지하여 수신부에 신호를 보내고, 경보가 울리며 , 수신부에는 가스누설표시등이 점등된다. 탐지부는 공기보다 무거운 가스(LPG)를 사용하는 장소에는 바닥면으로부터 30 cm이하에, 공기보다 가벼운 가스(LNG)를 사용하는 장소에는 천장면으로부터 30 cm이하에 설치하여야 한다.
1-5) 수신부
자동화재탐지설비의 수신기와 같은 역할을 한다. 주위의 열기류 또는 습기등과 주위온도에 영향을 받지 아니하고 사용자가 상시 볼 수 있는 장소에 설치한다. 크기가 작으며 화재표시등, 가스누설표시등, 경보정지, 가스누설 차단장치 수동개방, 복구, 전원 표시등이 있다.
1-6) 소화용기
소량의 약제를 가진 간이형 용구가 설치되며, 주로 3종 A B C급 분말소화약제가 사용된다.
2) 주거용 주방자동소화장치의 작동원리
2-1) 가스누설시
가스누출 ⇒ 탐지(LPG 0.45%, LNG 1.25% 이상으로 20초이내) ⇒ 수신부 경보 ⇒ 가스차단밸브 닫힘
2-2) 화재시
화재 ⇒ 1차온도 (80℃-100℃)감지 ⇒ 가스차단밸브 닫힘 ⇒ 2차온도 (100℃-120℃)감지 ⇒ 소화약제 방출
※ 1, 2차 감지온도는 소화기의 형식승인에 따라 다를 수 있음

< Fig07. 자동확산 소화장치 >
2) 자동확산소화장치 설치시 유의점
자동확산소화장치는 화기의 상부에 설치하여 화재시 초기진화를 목적으로 하고 있으나, 화재안전기준상 면적에 따라 일정개수 이상 설치하는 것으로 규정되어 있기때문에 적정위치를 고려하지 않고 설치하는 경우가 많다. 따라서 자동확산소화장치는 화기 상부에 설치하여 화재시 초기에 소화될 수 있도록 적정위치를 잘 판단하여 설치하는 것이 중요하다.
| 옥내소화전의의 산정방법 및 구성요소 (1) | 2024.10.02 |
|---|---|
| 소화기 능력단위 산정기준 / 소화기의 점검방법 (3) | 2024.09.30 |
| 소방시설의 전원 및 배선 - 자동화재탐지설비의 배선 (2) | 2024.09.26 |
| 화재의 분류 / 연소와 소화원리 / 소방시설의 종류 (0) | 2024.09.25 |
| 소방시설의 전원 및 배선 - 상용전원의 분기 (0) | 2024.09.23 |