
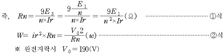
1. CLR의 저항(Ω) 및 용량(W) 결정
1) 등가회로 결정 및 해설

※ E1 : GPT 1차 상전압
E3 : GPT 3차 상전압
Rn : CLR(한류저항기)
Vo : 영상전압
Ir : 1선지락시 GPT에 흐르는 전류
ir : 1선지락시 GPT 3차 한류저항기에 흐르는 전류
N : GPT의 전압비( E1/E3)
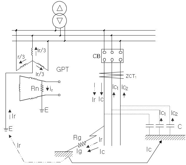
↓ GPT 3차측 한류저항기 각상으로 분류

↓ GPT3차측 저항 1차로환산

↓ In의 전류가 GPT 1차에서 3등분되므로 병렬회로임 (GPT 1차 접지측으로 저항 이동)

↓ 병렬회로의 합성

즉 GPT의 3차측 CLR의 저항을 1차로 환산한 후 중선점(접지선)으로 이동하면 GPT 1차측에 저항접지 형태가 된다. 이는 CLR의 크기에 따라 지락전류크기를 조절 할 수 있는 것이다.
2) CLR 저항(Rn) 계산식

※ E1 : GPT 1차 상전압
E3 : GPT 3차 상전압
Rn : CLR(한류저항기)
Vo : 영상전압
Ir : 1선지락시 GPT에 흐르는 전류
ir : 1선지락시 GPT 3차 한류저항기에 흐르는 전류
N : GPT의 전압비( E1/E3)


< Fig01. GPT 3차전압 벡터 >

3) 지락전류 중 유효전류 Ir의 결정

< Fig02. Ir의 방향 >
보통 Ir(유효전류)은 380㎃로 선정한다. 이는 지락방향 계전기 감도가 380㎃ 부근에서 고감도를 나타내고 또한 ZCT 1차 정격전류가 200㎃이므로 여유전류를 두어 380㎃로 한다.
따라서, GPT 각 상의 전류는 380 / 3 = 127(mA)로 결정
4) 전압별 한류저항(CLR)Rn(Ω), 용량(W)값 산출
○ 6.6KV 계통의 Rn, W
식①에 의해서


만일 완전지락 사고발생으로 단시간(GPT 시간정격: 30분 정격사용이 일반적임)내에 계통에서 분리되지 않을 경우(CB Fail), CLR 보다 GPT가 먼저 소손되어 경제적으로 손실이 더 크고 이로 인한 2차 파급사고가 발생할 수 있으며 또한 복구에 소요되는 시간도 훨씬 많을 것임.
따라서 CLR은 단시간정격(30Sec, 1Min, 3Min 등)을 사용하며 W용량 또한 100W를 사용하는 것이 일반적임.
○ 3.3kv 계통의 Rn W값

CLR은 단시간정격(30Sec, 1Min, 3Min 등)을 사용하며 W용량 또한 100W를 사용하는 것이 일반적 임.
○ 저압 440V 계통의 Rn, W


CLR은 단시간정격(30Sec, 1Min, 3Min 등)을 사용하며 W용량 또한 훨씬 작은 값을 사용함.
2. GPT의 부담(VA)
1) 조건
○ 지락의 조건은 1선 완전지락으로 본다.
○ 케이불 충전전류는 케이블 부설방법, 길이에 따라 변동되므로 조건에서 제외하며 순수한 유효전류 발생분(CLR에 의한 전류)에 대해서만 적용한다.
○ 지락방향 계전기 감도가 380㎃ 부근에서 고감도를 나타내고 또한 ZCT 1차 정격전류가 200㎃이므로 여유전류를 두어 380㎃로 하면, GPT 각상의 전류 = 380 / 3 = 127(mA)가 되므로 GPT 한상분의 정격전류를 127㎃로 한다.

< Fig03. GPT의 유효전류 흐름도 >
※ E1 : GPT 1차 상전압 E3 : GPT 3차 상전압
Rn : CLR(한류저항기) Vo : 영상전압
Ir : 1선지락시 GPT에 흐르는 전류 (380㎃로 함)
ir : 1선지락시 GPT 3차 한류저항기에 흐르는 전류
N : GPT의 전압비( E1/E3)
2) GPT 1상분의 부담
P = GPT 한 상의 전류 × GPT 한 상의 전압 (VA)
3) 전압별 GPT 1상분의 부담
○ 6,600V일 경우
P = 0.127 x 6,600 / √3 = 484[VA] 정격인 500[VA] 사용
○ 3,300V일 경우
P = 0.127 x 3,300 / √3 = 242[VA] 300[VA] 사용
○ 440V일 경우
P = 0.127 x 440 / √3 = 32[VA] 정격인 50[VA] 사용
상기 계산결과를 정리하면 표01과 같은 결과를 얻게 된다.
< 표01. GPT에 적용된 CLR 및 GPT부담 >
|
구 분
|
CLR(한류저항기) 산출 값
|
GPT 1상당 부담
(VA) |
|
|
저항값(Ω)
|
용량(W)
|
||
|
6,600V 비접지 설비
|
25
|
100
|
500
|
|
3,300V 비접지 설비
|
50
|
100
|
300
|
|
440V 비접지 설비
|
370
|
--
|
50
|
| 전기계통의 개폐서지(Surge)종류 및 억제 대책 (0) | 2024.07.30 |
|---|---|
| 열화상 측정기의 측정원리 (1) | 2024.07.29 |
| GPT의 한류저항기(CLR) 사용역할 ② - GPT 3차 오픈△단자측 제3고조파 발생을 방지하는 역할 (1) | 2024.07.25 |
| GPT의 한류저항기(CLR) 사용역할 ① - 지락시발생시 유효전류를 발생하는 역할 (1) | 2024.07.24 |
| 계기용 변류기(Current Transformer)의 선정방법 (1) | 2024.07.23 |