
1. OTDR (Optical Time Domain Reflectometer) - 광펄스측정기
ㅇ 광선로에 광 펄스(5 ㎱ ~ 10 ㎲)들을 입사시켜 되돌아온 파형에 대해 시간영역에서 측정
- 광 선로의 특성, 접점 손실, 손실 발생 지점, 색분산 등을 측정하고 고장점을 찾는 장비
※ 1976년경 Barnoski, Jensen에 의해 제안된 방법

[참고] LD(레이저다이오드), PD(포토다이오드), 광커플러, A/D변환, 레이더(Radar) 등 참조
2. 주요 측정 가능량
ㅇ 스플라이싱, 광커넥터, 밴딩 등 접속부까지의 거리, 손실값
ㅇ 광섬유 결점의 종류, 위치(거리), 크기
ㅇ 광섬유 특성의 균질성 여부 등

3. OTDR 파형 이벤트
ㅇ Nonreflective 이벤트 : 레일리히 후방산란광(Back Scattering Light)에 의함
- OTDR 파형 중 펄스광 반사에 의하지 않는 것
· 거리에 따른 단순 감쇄 손실
· 융착접속(Fusion Splicing) 손실
· 밴딩 손실등
ㅇ Reflective 이벤트 : 실제 관심을 갖는 펄스광 반사에 의한 것
- OTDR 파형 중 펄스광 반사에 의한 것
· 종단되지 않은 광섬유
· 불균일 직경 정합 등
4. OTDR 주요 성능 지수
ㅇ Dynamic Range
- 일반적으로, SMF 약 42~45 [dB], MMF 약 25 [dB]
ㅇ Resolution
- Event Resolution
· Event Dead Zone : 인접한 두 반사 이벤트 간에 사각지대
· Atteuation Dead Zone : 큰 반사 펄스의 하강 에지에서 파묻힘에 의한 사각지대

- Data Resolution
ㅇ Accuracy 등
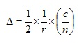
5. OTDR 거리 분해능(Range Resolution 또는 Data Resolution)

ㅇ Δ : 거리 분해능 [m]
ㅇ r : 광 수신 신호에 대한 샘플링율 [Hz/s]
ㅇ c : 진공 중 광 속도 3 x 108 [m/s]
ㅇ n : 광섬유 코어 굴절률 (약 1.443)
| AWG(American Wire Gauge, 미국전선규격)의 규격표 및 허용전류표 (0) | 2024.01.02 |
|---|---|
| 조명 잔광현상(Residual Luminescence) 제거방법 (0) | 2023.08.09 |
| 영상압축(Image Compression) - MJPEG, H.264 방식 (0) | 2023.07.12 |
| 원방제어설비(SCADA)의 시험 및 검사 (0) | 2023.06.26 |
| 통신케이블의 분류표(용도별, 구조별) (0) | 2023.06.02 |