
1. 발전기 용량의 선정
자가발전설비에서 필요로 하는 출력 산정에 있어 다음과 같은 방법으로 발전기 및 원동기 출력을 구하고 해당 발전기 출력 및 엔지출력의 정합을 구한다. 또한 그 결과를 근거하여 적절한 발전기 및 엔진을 선정한다.
- 비상용(수용률100%)의 경우 계산 결과 중 반드시 가장 큰 값으로 선정한다.
(일본의 NEGA C201 방식 : 비상전원은 방화대상물마다 설치하도록 되어 있으나, 동일부지내의 소방용 설비 등에 대해 하나의 자가발전설비에서 전력을 공급하는 경우 각각의 방화대상물마다 비상전원부하의 총용량을 계산하고 그 용량이 최대인 방화대상물의 부하에 대하여 전력을 공급할 수 있는 출력이라면 충분한 것으로 하고 있다)
- 비상발전기의 용량은 수전용량의 14~20% 정도가 가장 많으며, 상,하수도용 : 80%, 전화,체신업 : 65%, 일반빌딩 : 21%, 병원 30% 정도이다.
2. 발전기 용량 산정시 고려사항
· 산출되는 발전기 출력은 역률 0.8에서의 연속정격으로 하고, 정격전압, 정격주파수, 정격회전수는 부하설비 및 사용엔진에 따르는 것으로 한다.
· 사용 주위조건은 공기매체온도 40℃, 습도 80%, 표교 1000m 이하를 기준으로 한다.
· 단상부하 접속시(전압불평형, 파형의 찌그러짐, 이상진동 발생) 불평형율이 10% 이하일 것.
· 대용량의 단상부하의 경우에는 스코트 결선으로 한다.
(교류 3상부하에 단상부하를 접속하면 발전기는 그 부하의 √3배의 부하를 접속한 것과 같이 되어 발전기에 접속할 수 있는 용량이 감소되어 이용률이 줄어든다)
· 감 전압 시동방식에서 전 전압으로의 절체시간을 충분하게 하여 순시전압강하를 방지한다.(감전압시동을 채택하면 시동전류가 감소하여 발전기 용량을 적게할 수 있으나 시동 토크도 동시에 감소하게되어 전동기가 충분한 회전속도에 도달하지 않은 상태에· 서 전전압으로 절환하면 순시전압강하를 일으키게 되므로 철체시간을 충분하게 한다)
고조파 부하에 의한 파형의 왜곡을 고려한다.
- 전원에 정류기를 접속하면 전압파형의 찌그러짐 현상이 발생하는데 이 현상은 전원의 리액턴스가 클수록 심해진다. 따라서 발전기 리액턴스를 작게하거나 발전기용량을 부하용량보다 2배정도로 한다.
- 동일계통에 연결된 전동기의 손실 및 온도가 증가한다.
- 발전기 댐퍼권선의 온도상으로 인해 손실이 증가한다.
- AVR 점호위상제어의 경우에는 동작이 불안정해진다.
3. 발전기 용량의 계산
[표] 발전기 용량계산방식

2-1) 전부하 정상운전상태시에 필요한 발전기용량
정격운전상태(정상부하)의 발전기 용량으로 부하 정격출력의 합과 역률,수용률을 적용하여 구한다.
PG₁(일반용) = 부하설비의 합계×수용율 {KVA}
PG₁(비상용)

· ηL : 부하의 종합효율
· PfL : 부하의 종합역률
· PL : 접속된 부하출력의 합계KW
· cosΘG : 발전기 정격역률
· D : 수용율
· Sf : 단상부하설비와 불평형에 의한 선전류의 증가계수
· △P : 단상불평형분 출력합계[KW]
3상 각 선간에 단상부하출력 A,B,C[kw]가 있고
A≥B≥C의 경우 △P = A+B-2C[kw]
· u : 단상부하 불평형계수
· D : 수용률
· Sf : 불평형전류에 의한 선전류 증가계수

· △P : 단상불평형분 출력합계[KW]
3상 각 선간에 단상부하출력 A,B,C[kw]가 있고
A≥B≥C의 경우 △P = A+B-2C[kw]
· K : 부하출력의 합계
2-2) 부하시동에 의한 순시전압강하와 부하의 허용전압 변동치를 고려한 발전기용량

발전기에 걸리는 부하 중 유도전동기는 기동용량[KVA]을 가지므로 최대기동용량을 갖는 전동기가 기동할 때 발전기에서 허용할 수 있는 최대 허용전압강하를 고려하여 구한다.
· PLmax : 최대전동기 또는 전동기군의 시동kVA(전동기출력 ×전동기 단위출력당 기동 (KVA)× 기동방식에 의한 계수)
· Xs' : 과도 리액턴스 0.1-0.35(불 분명한 경우 0.2~0.25 적용) , 소용량의 2극 발전기인 경우 0.125 적용
· △V : 허용전압 강하율 0.2-0.25 (보통 :0.25, 비상용 엘리베이터의 경우: 0.2)
· △V : 발전기단 허용전압강하[PU : 자기용량베이스]
· x'' : 부하 투입시의 전압강하를 펑가한 임피던스[PU]
· ks : 시동계수
· Zm : 시동시 임피던스[PU]
· M2 : 최대전압상하로 되는 전동기의 출력KW
전체의 기동입력

값을 계산하여 그값이 최대로 되는 mi를 M2로 한다.
· 부하출력의 합계 KW
· mi : 개개 부하기기의 출력[KW]
2-3) 발전기 과부하 내량을 고려하고 최대부하가 마지막 시동에 필요한 발전기 용량.
2-3-1) 발전기 내량고려시

· Gw : 발전기 과부하 내량(1.2-1.5)
JEM-1354 규정에서는 발전기 과전류 내력에 대해 15초 동안의 150% 전류에 견뎌야 하는 것으로 되어 있다. 일반적으로 소용량의 발전기는 이에 대해 여유가 있으나 대용량 발전기에서는 규정 한계에 가깝다.
· PLmax : 최대부하 (KW)
2-3-2) 발전기 내량을 고려하지 않는 경우

· Po : 부하 출력의 합계(KW)
· Pn : 최대 전동기 또는 전동기군 출(KW)
· ηL : 부하의 종합효율 0.7-0.9 ( 불분명한 경우 0.85 적용)
· α : 전동기 기동 계급별 kw에 대한 시동 kVA 상수 5.4-9.0 ( 모를 때 7.2 적용)
· 시동계급 : 시동전류의 크기를 정격출력 1KW당의 시동시 입력 KVA 값에 의해 정해진 기호
· COSφ : 발전기의 역율(불분명한 경우 0.8 적용)
· COSφn : 최대 전동기 또는 전동기군 시동시의 역률(불분명한 경우 0.4 적용)

· β : 전동기 기동방식별 계수

RG3를 구하는 방법은 다음과 같다.
발전기는 짧은 시간동안 정격출력을 초과하는 출력에 견디는 능력을 가지고 있으며. 부하설비로서 전동기를 기동할 때 해당기기의 정격치 전류보다 큰 전류가 흐르는 전류는 이 기동전류와 이미 운전되고 있는 베이스 부하 전류와의 합이 된다. 또한, 부하 투입시 발전기에 흐르는 전류는 그 발전기의 단시간 허용전류내량 이내이어야 한다.

· d : 기저부하 수용률
· M3 : 단시간 과전류내력을 최대로 하는 부하기기의 출력[KW]
· 모든(기동입력-정격입력)값이 최대로 되는 부하출력[KW]

값을 계산하여 그 값이 최대로 되는 mi를 M3로 한다.
· Ks : 부하기동방식에 의한 계수
· Zm : 부하기동시 임피던스[PU]
· K : 부하출력의 합계KW
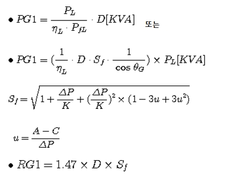
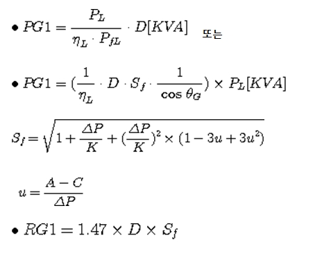
2-4) 부하중 고조파분을 감안한 발전기용량
· PG₄= Pc * (2~2.5) ≤ PG₁
· Pc : 고조파분 부하
- 계수
6상 정류방식의 경우 ~ 2.67배
12상 정류방식의 경우 ~ 1.47배
발전기 용량분의 고조파분이 12% 미만이 될 수 있도록 발전기용량을 선정하는 것이 바람직하나 용량이 지나치게 커지게 된다.
일반적으로 고조파 부하의 고조파 성분은 30%이하로 되므로, 6상 정류방식에서 접속가능한 고조파 부하의 용량은 발전기 용량의 40%까지 가능하다.

· KG4 : 허용역상내량계수[PU](JEM, JEC 0.15)
· R : 고조파발생부하 출력합계
· u : 단상부하불평형계수
· △P : 단상부하불평형률 출력합계(kw)
· K : 부하출력합계
3상 각 선간에 단상부하출력 A,B 및 출력값[kw]가 있고
A≥B≥C의 경우 △P = A+B-2C[kw]
[표] 부하설비의 고조파발생률

3) 이용종별에 따른 발전기 대수의 결정
3-1) 비상전원용의 것
단시간 : 1대, 장시간 : 1대 또는 2대
3-2) 비상, 상용(피크 컷 등) 겸용의 것.
일반적으로 2대 이상.
3-3) 상용의 경우
일반적으로 2대 이상.
| 발전설비의 검토사항 - 발전설비의 계통, 발전기실의 구조, 발전설비의 전기적 보호장치 등 (0) | 2022.07.18 |
|---|---|
| 발전기 엔진(Generator Engine)의 선정방법 - 발전기의 기종선택 (0) | 2022.07.13 |
| 비상발전기(Emegency Generator)의 종류 및 분류 (0) | 2022.07.11 |
| 한전 고압용 전기계량기(전력량계) 보는법 - 전자식 (0) | 2022.07.06 |
| 한전 저압용 전기계량기 (전력량계) 보는법 - 기계식 / 전자식 (0) | 2022.07.05 |