
1. 측광량 상호간의 관계

2. 광속(Luminous Flux) : F
단위시간에 통과하는 광량으로 가시범위 내에서 방사속을 눈의 감도를 기준으로 하여 측정한 것.(단위시간에 복사되는 에너지의 양을 눈으로 보아 빛으로 느끼는 효과) . 즉, 방사속을 시각으로 측정한 량
· 단위 : (lm)
1-1) 각종 광원의 광속

3. 광도(Luminous Intensity) : I

· 단위 시간당 특정지역을 통과하는 광속을 나타내며, 광원의 어떠한 방향의 광도란 그 방향에서의 단위 입체각당의 광속. 즉 광원이 가지는 빛의 강도를 표시한다.
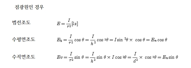
· 점 광원으로부터 모든 방향으로 균등하게 광속이 발산될 때의 광도

· 점 광원의 반구를 반사판으로 완전 반사시켜 나머지 반구로 균등하게 광속이 발산될 때의 광도

4. 조도 : E
어떤 면에 광속이 방사(투사)되어 그 면이 밝게 비추어지는 정도 즉, 어떤 면을 투과하는 광속의 밀도
단위면적당 들어가는 광자의 갯수로 눈으로 느끼는 정도가 아닌 입사되는 광자의 갯수.
· 단위 : lx = lm/㎡
· 역자승의 법칙 En = I/R²(lx)
1-1) 입사각 여현의 법칙
· 어떤 면 위의 임의의 1점에서 조도는 광원의 광도와 cosθ에 비례하고 거리의 제곱에 반비례 한다.
· E' = I cosθ/R²
1-2) 평면상의 조도


5. 휘도 : L
광원을 보면 그 면이 빛나 보이며 반투명이면 뒷면을 보아도 빛나 보인다.즉, 그 면의 밝기, 광도의 밀도를 말한다. (밝기의 정도)

· 광원의 어떤 방향의 광도를 그 방향에 있어서 광원의 단위면적으로 나눈 것

· 단위 : sb = cd/㎠, nt = cd/㎡
· I : 광도
· A : 광원의 같보기 단위면적
· 태양 : 224,000sb,
· 초고압수은등 : 30,000sb
· 백열등 100W : 600sb
4-1. 눈부심의 한계치
· 때때로 시야에 들어오는 대상 : 0.5 cd/㎠
· 항상 시야에 들어오는 대상 : 0.2 cd/㎠
· 형광등의 경우 0.4 cd/㎠ 이므로 때때로 쳐다보는 것은 무방하나 계속 주시하는 경우 눈부심을 일으키게 된다.
6. 광속발산도(밝음의 분포): M
· 어느 면의 단위 면적으로부터 발산하는 광속 즉 발산광속의 밀도를 나타내며, 시야 내의 광속분포가 일정한 경우 가장 예민한 시각을 얻을 수 있다.
· 빛이 어던 면으로부터 튀어나와 직접 눈에 밝음의 감각을 주는 것

· 광속발산도의 한계
· M = dF/dA (lm/㎡) = F/S
· 단위 : (rlx) = (asb) = (lm/㎡) = (lx)
· 한면의 광속발산도
- 면 전체의 광속발산도 면적 × L
· 한점(dA)의 광속발산도
- 휘도 = 광속발산도
1-1) 완전확산면
· 어느 방향에서 보아도 휘도가 같은 표면으로 맑은 하늘, 산화 마그네슘, 양질의 젖빛유리가 이에 가깝다.
· 완전 확산면에서의 광속발산도 = 휘도가 되고, M = πL로 구한다
6. 방사속 : Radiant Flux
· 방사에너지의 시간적 비율. 단위시간당 어떤 면을 통과하는 방사에너지의 양.
· 방사(Radiation) : 에너지가 전자파의 형태로 공간에 방사되는 것.
| 동력설비 - 전동기 응용의 기초 (1) | 2021.11.19 |
|---|---|
| 휘도계 - 휘도측정방법 (0) | 2021.11.18 |
| 조명설계 - 조명비의 계산 (0) | 2021.11.16 |
| 조명설계 - 조도측정 일반사항 / 조도계의 종류 (0) | 2021.11.15 |
| 조명설계 - 전반조명(General Diffused Lighting)설계순서 (0) | 2021.11.12 |