
1. 코로나 현상의 정의
코로나 현상은 도체 표면의 전계(전기장)가 공기의 절연강도를 초과할 때, 공기 분자가 이온화되며 푸른빛·보라빛 발광, 소음, 냄새 등이 나타나는 현상입니다.
완전한 단락이나 아크 방전은 아니고 도체 주변 국부적인 부분 방전이라는 점이 특징입니다.
2. 발생 원리
1) 전기장의 집중
· 도체에 고전압이 인가되면 주변에 전기장이 형성됨
· 특히 도체 표면이 뾰족하거나 거칠면 전기장이 집중됨
2) 공기의 이온화
· 공기의 절연강도: 약 30 kV/cm
· 이 값을 초과하면
→ 공기 분자가 전자를 잃거나 얻어 이온화
3) 부분 방전 발생
· 이온화된 공기가 미세한 방전을 반복
· 도체 주변에만 국한되어 발생 → 코로나 방전
< 코로나 현상이 잘 발생하는 조건 >
|
구분
|
설명
|
|
고전압
|
송전선, 변전설비 등
|
|
도체가 가늘 때
|
전계 집중 ↑
|
|
표면이 거칠 때
|
흠집, 먼지, 빗물
|
|
습도 높을 때
|
비·안개·눈
|
|
기압 낮을 때
|
고산지대
|
3. 코로나 발생시의 증상
1) 시각적
· 푸른빛, 보라빛의 희미한 발광
· 밤에 특히 잘 보임
2) 청각적
· 지지직, 윙 하는 소리
· 비 오는 날 송전선 아래에서 잘 들림
3) 후각적
· 오존(O₃) 냄새
· 전기실에서 금속 냄새처럼 느껴짐
4) 부정적 영향
· 전력 손실 : 코로나 손실(Corona Loss) 발생
· 통신 장애 : 전자파 잡음 → 통신선 간섭
· 절연 열화 : 오존, 질소산화물 발생 → 절연물 노화
· 소음 공해 : 주거지역 민원 발생
· 기기 장애 : 소호리액터의 소호능력저하
· 전선 장애 : 전선의 부식을 촉진
4. 코로나 현상 방지 대책
1) 구조적 대책
· 도체 직경 확대
- 등가선간거리를 크게 하면 철탑(지지물)이 커져야 하므로 비경 제적이다.
- 따라서 코로나 임계전압을 크게 해 코로나손실을 방지하려면 전선의 직경은 크게 해야 한다.
- 전선의 직경을 무한정 크게 하면 전선중량이 증가하기 때문에 복도체를 사용하거나 중공전선(Al Tube) 및 ACSR(강심알루미 늄연선)을 사용한다.
· 복도체(Bundle Conductor) 사용
· 코로나 링(Corona Ring) 설치
· 표면을 매끄럽게 가공
2) 설계적 대책
· 전계 분포 균등화
· 적정 전압 등급 설계
5. 코로나 관련 공식
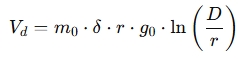
1) 코로나 개시 전압 (Peek’s Formula)

· Vd : 코로나 개시 전압 (kV, 상전압 기준)
· m0 : 도체 표면 상태 계수
- 매끈함: 1.0
- 거칠음: 0.7~0.85
· δ : 공기 밀도 계수
· r : 도체 반지름 (cm)
· D : 도체 간 거리 (cm)
· g0 : 임계 전계 강도
- 약 21.1 kV/cm (rms)
2) 공기 밀도 계수 (Air Density Factor)

· b : 기압 (cmHg)
· t : 온도 (℃)
※ 고도가 높을수록 δ ↓ → 코로나 발생 쉬움
3) 코로나 손실 (Peek’s Empirical Formula)

· Pc : 코로나 손실 (kW/km/상)
· f : 주파수 (Hz)
· r : 도체 반지름 (cm)
· D : 도체 간 거리 (cm)
· V : 선간 전압 (kV)
· Vd : 코로나 개시 전압
※ V < Vd → 코로나 손실 = 0
6. 코로나 링의 정의
고전압 도체나 절연물 말단부에 설치하여 전계(전기장)를 분산시키고, 코로나 방전을 억제하는 장치입니다.
· ‘Corona Shield’, ‘Grading Ring’이라고도 부름
· 대부분 알루미늄 합금 또는 도전성 금속으로 제작
7. 코로나 링의 작동 원리
1) 전계 완화(Electric Field Grading)
· 코로나 링 설치
· 도체 끝단의 뾰족한 전계 집중부를 제거
· 전기장이 링 전체로 넓게 분산
· 공기 절연 파괴 방지
· 코로나 현상 감소
· 전계 최대값(Emax)을 낮추는 것이 목적
8. 설치 위치 (실제 현장 기준)
1) 주 설치 장소
· 송전선 애자 스트링 말단
· 부싱(Bushing) 고전압측
· 케이블 종단 접속부
· GIS 입출력부
· 변압기 고압측 단자
· 특히 : 154kV 이상 / 345kV, 765kV 초고압 설비에서 필수적
9. 코로나 링 설치 효과
1) 장점
· 코로나 방전 억제
· 전력 손실 감소
· 소음 감소
· 오존 발생 억제
· 절연물 수명 연장
· 부분방전(PD) 감소
2) 미설치 시 문제
· 애자 열화 가속
· 절연 파괴 위험 증가
· 야간 발광 현상
· 민원 발생
| 주말 및 휴일작업 안전작업계획서(양식) (0) | 2025.12.24 |
|---|---|
| 전기 사용전 점검 사항 (by KESCO) (0) | 2025.12.23 |
| 중성선 과 접지선의 차이점 (0) | 2025.12.19 |
| 전선 단면적 mm² 직경(mm)으로 변환 (0) | 2025.12.17 |
| 한전 계량기 결선도 (0) | 2025.12.16 |