
1. 발전기 기본식의 배경
여기서는 이 대칭좌표법을 적용하여 발전기의 기본식 대한 물리적 개념을 파악해 보기로 한다. 실제 고장전류 및 전압분포를 계산하고자 하는 경우에는 불평형전류를 대칭 평형 성분으로 나누고 이를 이용하여 각상의 전압 및 전류를 구해가는 과정을 거친다.
이를 위해서는 고장발생 지점을 중심으로 영상분 , 정상분, 역상분에 대한 대칭 회로를 구성할 줄 알아야 하며 또한 이 대칭회로에서 구해진 전류를 이용하여 전압의 분포를 알아내야 한다 . 그러면 왜 3상 불평형 전류를 대칭 평형성분으로 분해해야 하는지 알아보도록 한다. 3상 전압이나 전류가 평형 대칭되어 있으면 각 상의 전류나 전압을 상별로 일일이 계산하지 않아도 되며 어느 한 상 분만을 구하여 여기에 각각 120° 씩 위상차를 고려해 주면 되기 때문에 매우 편리하게 계산을 수행할 수 있다. 따라서 대칭좌표법 에서 불평형 전류를 3상 평형 대칭 성분으로 분해하는 이유가 여기에 있다고 생각하면 될 것이다.
이렇게 평형 대칭성분으로 나누면 각 대칭성분에 대하여 계산을 실시하고 여기에 각각 120° 씩 위상차를 주고 이들을 중첩하면 되기 때문에 매우 용이하게 우리가 원하는 값들을 알아낼 수 있기 때문이다. 인간은 편리함을 추구하며 이 대칭좌표법을 바탕으로 하는 발전기의 기본식 역시 이의 결과로 생각한다 .
2. 발전기 기본식의 유도
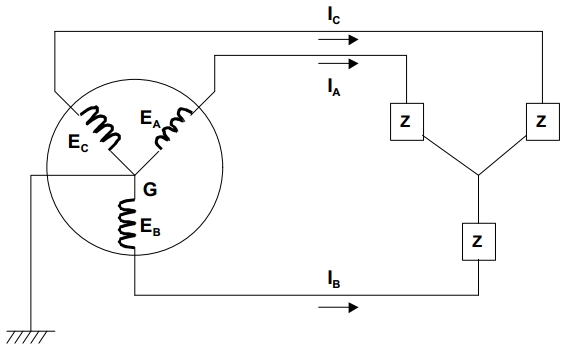
3상 회로의 고장계산에 아주 유용하게 사용되는 발전기의 기본식을 유도해 보도록 한다. 다음과 같이 발전기에 대칭 평형부하가 접속되었다고 하면 각 상의 전류를 구하기 위해서는 어느 한상의 전류를 구하기만 하면 된다.

< Fig01. 평형3상 대칭부하의 전압 및 전류 >
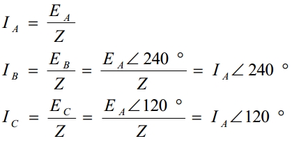
위의 회로에서 각 상의 전류는 다음과 같이 될 것이다 .

이와 같은 개념을 가지고 발전기의 기본식을 유도해 보기로 한다 .
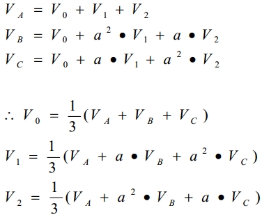
1) 3상 불평형전류 및 전압의 대칭성분 분해
앞서 작성한 대칭 좌표 법에 대한 자료에서 설명한 대로 다음과 같이 3 상 회 로에서 불평형 된 각 상의 전압 및 전류가 대칭 평형 성분으로 분해된다 . 먼저 전류에 대하여 이를 수식으로 표현해 본다.

전압에 대해서도 동일하며 위의 식에서 전류를 전압으로 바꾸어 주기만 하면 된다.


< Fig02. 정상분 및 역상분 벡터 회전방향 >
위의 대칭성분 벡터 도에서 눈 여겨 보아야 하는 것은 역상분 I2 의 회전방향으 로써 벡터 도를 이용하여 중첩해가면서 각 상의 전류를 구할 때 혼돈이 없도록 하여야 한다.
2) 발전기 기본식의 성립조건
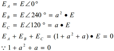
발전기의 기본식을 유도하는데는 다음과 같은 기본적인 조건이 필요하다. 발전기의 무부하 유도기전력은 대칭을 유지한다. 즉 발전기의 내부 유도기전력은 언제나 각 상이 크기가 같고 120° 의 위상차를 갖는 상태를 유지한다는 것이다. 영상분, 정상분, 역상분, 각 대칭분 전류에 의한 전압강하는 각 대칭분 임피던스에 의해서만 발생한다. 즉, 영상분 전류는 영상 임피던스에 의해서만 전압강하를 발생하고 정상분 전류는 정상 임피던스에 의해서만, 역상분 전류는 역상 임피던스에 의해서만 전압강하를 발생한다는 것이다.
위의 기본 가정은 대칭좌표법을 이용하여 발전기의 기본식을 유도하는데 중요한 것으로써 반드시 파악하고 있어야 한다. 또한 발전기의 내부 유도 기전력이란 발전기의 동기 임피던스 (또는 고장전류 를 구하는 목적 및 고장발생 경과 시간에 따라서 과도 임피던스) 의 안쪽 전압을 의미하며 이를 전문서적에서는 “ 배후 전압” 이라고 표현하기도 한다. 그리고 기호에 대해서도 일반적으로 내부유도 기전력은 E 라고 표기하고 단자전압 (이는 고장 지점의 전압을 의미함) 은 V 라고 표기한다. 이와 같은 부호규약 이라든지 이들이 갖는 의미에 대하여 잘 알아 놓는 것이 아주 기본이면서 중요하다고 생각한다.

< Fig03. 발전기의 기본식에 필요한 부호규약 >
3) 발전기의 기본식
이제는 위의 개념을 가지고 발전기의 기본식을 유도해 보기로 한다. 먼저 각 상의 단자전압은 각 상의 내부 유도기전력에서 각 대칭분 전류가 흐르면서 각 대칭분 임피던스에서 발생한 전압강하를 뺀 것과 같다. 또한 발전기는 각 대칭분 임피던스가 포함되어 있는 것으로 취급하고 이들이 각각 해당되는 대칭분 임피던스에 의해서만 전압강하를 발생시키는 것으로 하였으므로 결국 다음과 같이 될 것이다.

< Fig04. 발전기의 내부 유도기전력과 각 대칭분전류 및 임피던스 성분 >
각 상의 단자전압을 구하기 위해 기본가정을 고려하면서 이에 대한 수식을 세우면 다음과 같다.

물론 내부 유도기전력과 각상의 전압강하에 따른 단자전압 사이에는 다음과 같은 관계가 성립한다.


위의 관계를 이용하여 단자전압과 대칭분 전압간 관계를 이용하여 이를 정리 해본다.

위의 식에서 내부 유도기전력에 대한 대칭성분 역시 동일한 관계를 갖기 때문 에 다음과 같이 쓸 수 있다.

위의 식에서 내부 유도기전력의 정상분 전압 E1 이 기준 벡터인 E A 와 같음을 눈 여겨 보아두기 바란다 . 이상의 결과를 종합하면 발전기의 단자전압을 분해하여 얻어진 각 대칭분 전압 과 대칭분 전류간의 관계를 나타내는 발전기의 기본식이 다음과 같이 유도된다 .

4) 발전기 기본식에 내포된 물리적 개념
발전기의 기본식이 가지고 있는 물리적인 개념을 살펴보도록 한다.

< Fig05. 발전기의 단자전압과 대칭성분과의 관계 >
① V0 = - Z0 · I0 의 물리적 의미
이 식은 영상전압이 고장단자에서만 나타난다는 것을 의미하는 것으로써 발전기의 내부에는 유도기전력의 영상성분이 존재하지 않음을 뜻하며 이는 발전기의 내부 유도기전력이 평형 되어 있다는 가정과 일치하는 것이다. 또한 전류의 방향은 고장 점에서 발생된 영상전압에 의해 영상전류가 영상 임피던스를 통해서 발전기로 유입하는 것을 의미하고 있다.
이 개념을 그림으로 나타내면 다음과 같이 표현될 수 있다.

< Fig06. 영상분전압 및 전류의 분포 개념 >
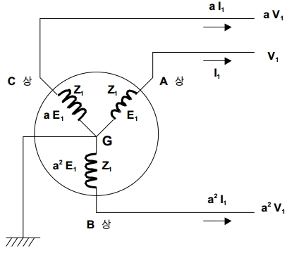
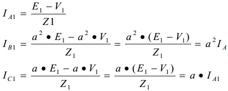
② V1 = E 1 – Z1· I1 의 물리적 의미
이 식은 정상분 전압이 고장단자에 나타나고 발전기 내부의 유도기전력의 정상분 전압과 각 상의 고장단자에 나타난 정상분 전압간의 전위차에 의해 정상분 전류가 정상 임피던스를 통해 발전기로부터 고장단자로 유출하고 있음을 의미하는 것이다.
이 개념을 그림으로 나타내면 다음과 같이 표현될 수 있다.

< Fig07. 정상분 전압 및 전류의 분포개념 >
각 상에 존재하는 정상분 전류의 관계는 우리가 예상했던 대로 다음과 같다.

③ V2 = – Z2· I2 의 물리적 의미
이 식은 역상전압이 고장단자에서만 나타난다는 것을 의미하는 것으로써 발전기의 내부에는 유도기전력의 역상성분이 존재하지 않음을 뜻하며 이는 발전기의 내부 유도기전력이 평형되어 있다는 가정과 일치하는 것이다. 또한 전류의 방향은 영상전류에서 설명한 것과 마찬가지로 고장점에서 발생된 역상전압에 의해 역상전류가 역상 임피던스를 통해서 발전기로 유입하는 것을 의미하고 있다.
이 개념을 그림으로 나타내면 다음과 같이 표현될 수 있다.

< Fig08. 역상분 전압 및 전류의 분포개념 >
| 계기용변류기(Current Transformer ; CT)의 기본원리 및 종류 (0) | 2024.07.22 |
|---|---|
| PTT와 CTT의 사용방법 (0) | 2024.07.17 |
| 모터 파워퓨즈(Power Fuse) 용량 선정방법 (0) | 2024.07.15 |
| 접지봉에 의한 대지저항율 측정법 (0) | 2024.07.12 |
| 단락전류(Short-circuit current) 간이계산방법 (0) | 2024.07.11 |