
1. 연속 허용 전류 계산식
케이블의 교체 또는 후단 부하의 증설, 모터의 용량증대와 같은 사항을 검토시 케이블의 연속 허용전류에 대한 사항을 알아야 할 경우가 많이 있다.
하지만 케이블의 연속 허용전류는 케이블의 포설 조건 (트레이 , 전선관, 덕트 등) 과 케이블의 가닥 수, 주위온도, 도체 및 절연체의 최고 허용온도 등 다양한 변수들과 관계 되어 있으므로 케이블 제작사에서 제공한 허용전 류 표와 같은 일정한 값으로 단정하는 것은 어려운 것이 사실이다.
제작사의 허용전류 표에 기재되어 있는 값은 어디까지나 표에서 규정하 고 있는 조건에서 포설될 경우에 대한 것이며 이를 모든 경우에 적용하면 케이블의 용량부족으로 커다란 고장을 유발할 수 있으므로 주의 깊은 검토 가 필요하다.
또한 케이블을 지나치게 여유 있게 선정하는 것은 아주 합리적이지 못 한 것이 되므로 포설 조건에 따른 케이블의 연속 허용전류를 산정하는 방법 을 파악하고 있으면 유용할 것으로 생각한다.
물론 좀더 정확한 허용전류 계산을 위해 포설 조건을 지정하면 이를 계 산해 주는 컴퓨터 프로그램이 있으며 신규 공장의 건설 및 대용량 장거리 송 배전선로의 포설 등에는 대부분 이를 사용한다.
여기서는 실무에 손쉽게 적용할 수 있도록 정리되어 있는 각 Code 및 기술자료의 케이블 연속 허용전류 계산식에 대한 내용을 소개한다.
내용을 발췌한 참고자료는 각 식을 설명하면서 소개하였으니 좀더 상세 한 내용은 원문을 직접 참고하면 많은 도움이 될 것이다.
1) NEC (National Electric Code) 의 허용전류 계산식

· TC : 도체의 연속 허용 최고 온도 [℃ ]
· TA: 도체의 주위 온도 [℃ ]
· △TD : 유전체 손실에 의한 온도 상승분 [℃ ]
· RDC : 주어진 온도에서의 도체의 직류 저항 [Ω ]
· RAC : 표피 및 근접 효과를 고려한 도체의 교류 저항 [Ω ]
· RCA : 포설 주위 매질의 열전도율에 대한 역수로 Thermal Resistance
2) JCS (Japanese Cable Maker’ s Association Standard) 의 계산식
① 직매 및 Duct 포설

② 태양열이 차단된 Tray 및 Trench 포설

③ 태양열에 노출된 포설

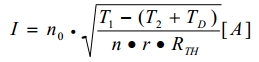
· n : Cable 의 도체 수 (단심 또는 3 심 )
· r : 연속 허용 최고 온도에서의 교류 저항 [Ω ]
· T1 : 도체의 연속 허용 최고 온도 [℃ ]
· T2 : 도체의 주위 온도
· TD : 유전체 손실에 의한 온도 상승분
· TS : 태양열 방사에 의한 온도 상승분
· RTH : 포설 주위 매질의 열전도율에 대한 역수로 Thermal Resistance
· n0 : Tray & Trench 포설에 따른 Group Rating (근접효과와 유사)
3) 계산식에 포함된 물리적 의미 이해
위 계산식을 잘 살펴보면 케이블의 허용전류는 케이블의 최고허용 온도 상승과 자체저항 및 주변의 열전도도에 밀접한 관계를 가지고 있음을 알 수 있으며 이들은 전부 케이블에 발생되는 열과 이를 방출하는 주위환경과의 관계를 나타내는 식이라고 볼 수 있다.
즉 케이블의 연속 허용전류는 도체의 허용 최고온도와 주위온도 및 도체의 저항(재질)에 의해서 결정된다는 것을 나타내는 것이다.
또한 우리들이 주로 관심을 갖는 케이블의 단면적에 대한 사항이 없으나 이는 도체의 저항이 이를 나타내고 있기 때문에 도체의 재질 및 단면적의 항이 수식에 포함되어 있다고 생각하면 된다.
2. 엔지니어링 측면에서의 연속 허용 전류 산정
앞에서 소개한 계산식에 포함된 Factor 들의 경우 이들을 산정하는 것은 상당히 복잡한 수치계산을 필요로 하기 때문에 각 Code 에서는 Cable 의 도체 수, 포설 환경, 배치형태, Duct Bank 의 크기 등의 포설 조건을 고려하 여 다음과 같은 간략화 된 산정 법을 제시하고 있다.
현장의 전기 기술자들이 보다 활용하기 용이한 NEC 및 IEC 의 케이블 연속 허용전류 계산식을 소개한다.
1) NEC의 산정법 (Underground 포설의 경우)
NEC 에서는 다음과 같은 포설 조건을 기준으로 하여 실무적인 활용에 도움이 될 수 있도록 허용 전류 표를 제시하고 있다. (NEC Article 310)
① 도체의 종류 (Copper 및 Aluminum)
② Electrical Duct 당 도체 수
③ 도체의 연속 허용 최고 온도 [90 ℃ ]
④ 주변 지중 온도 [20 ℃ ]
⑤ 주변 토양의 열 전달율 [90 ℃ m / W]
Electrical Duct Bank의 형태 [Typical Drawing 으로 제시 ]
Electrical Duct Bank의 Depth는 기준 열전달율을 초과하지 않도록 한다. 만약 이를 초과 하는 깊이로 포설될 경우 “6 % / foot” 의 감소율(De-rating Factor)을 적용 하여야 한다.
Ambient Temperature 가 기준 조건과 다를 경우 다음의 보정식을 적용한다.

· I1 : 허용 전류 표에서 제시한 값
· I2 : 요구된 주위 온도에서의 허용 전류
· TC : 도체 온도 [℃]
· Ta1 : 허용 전류 표에서의 기준으로 제시한 주위 온도 [℃]
· Ta2 : 요구된 주위 온도 [℃]
· △TD : 유전체 손실에 의한 온도 상승분 [℃]
2) IEC 의 산정법 (Underground 포설의 경우)
IEC 에서는 다음과 같은 포설 조건을 기준으로 하여 허용 전류 표를 제 시하고 있다. (IEC Pub. No. 287)
① 도체의 종류 (Copper 및 Aluminum)
② Electrical Duct 당 도체 수
③ 도체의 연속 허용 최고 온도 [90 ℃ ]
④ Electrical Duct Bank 의 Depth : 1.4 m
또한 위에서 기술한 각 기준 조건의 변화에 따른 감소율(De-rating Factor) 에 대해서는 별도의 Table 을 제공하고 있다.
각 테이블의 내용은 위에서 소개한 부분을 참조하면 쉽게 확인하여 현업에 적용할 수 있다.
| 계기용 변압기(Voltage Transformer)의 선정방법 (0) | 2024.07.09 |
|---|---|
| 낙뢰(Lightning)관련 교육자료 - 뇌현상, 뇌방전특성 등 (0) | 2024.07.08 |
| 피뢰기(Lightning Arrester)의 정격전압 (2) | 2024.07.04 |
| 고압차단기, 저압차단기의 특성비교 - 유입식 / H건식 / 몰드형 (0) | 2024.07.03 |
| 저압회로의 과전류 보호협조 (3) | 2024.07.01 |