
1. 직류회로
1) 전하
어떤 물체가 갖는 전기적인 양을 말하며, 전자 1개의 전하량은

2) 전류

1A는 1초 동안에 1[C] 의 전하가 이동할 때의 전류
3) 전압

1V는 두 점 사이를 1[C]의 전하가 이동하는데 소요되는 에너지가 1[J]일 때 두 점 사이의 전위차
4) ohm's law

,

,

5) 저항의 접속
직렬접속

병렬접속

6) 전력
단위시간에 변환 또는 전송되는 전기적인 에너지의 양.

2. 교류회로
| 정현파교류 | 각주파수 또는 각속도, 주기 및 주파수, 정현파의 평균값 정현파의 실효값 정현파의 파형율 및 파고율 정현파 교류의 합과 차 |
| 기본교류회로 | R-L-C 직/병렬 회로(인가전압이 인 경우) 임피던스 직/병렬 회로 공진 |
1) 정현파 교류
각주파수 또는 각속도

주기 및 주파수

정현파의 평균값

정현파의 실효값

정현파의 파고율 및 파형율
파고율 = 최대값/실효값 =

, 파형율 = 실효값/평균값 =

정현파교류의 합과 차


단,

,

| 정현파교류 | 각주파수 또는 각속도, 주기 및 주파수, 정현파의 평균값 정현파의 실효값 정현파의 파형율 및 파고율 정현파 교류의 합과 차 |
| 기본교류회로 | R-L-C 직/병렬 회로(인가전압이 인 경우) 임피던스 직/병렬 회로 공진 |
2) 기본교류회로
R-L-C 직/병렬 회로(인가전압이

인 경우)

3) 임피던스 직/병렬 회로
직렬회로


병렬회로


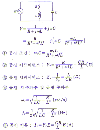
4) 공진
이상적인 직/병렬공진

일반적인 병렬 공진

| 회로이론 - 결합회로 (0) | 2021.09.28 |
|---|---|
| 회로이론 - 교류전력 (0) | 2021.09.27 |
| 직입기동,Y-△ 기동, 히터, 차단기류 용량선정표 (0) | 2021.08.27 |
| 동 부스바(Busbar) 허용전류표 (0) | 2021.08.25 |
| Y-D(Y-△)기동 결선도 (0) | 2021.08.24 |