
1. 가공 송전선로의 장·단점
- 시공기간이 지중선로에 비해 짧다.
- 시공비용이 지중선로에 비해 적다.
- 선로고장 발생시 지중선로에 비해 찾기가 쉽다.
- 고장 발생확률이 지중선로에 비해 많다.
2. 전선의 구비조건
- 도전율이 좋아야 한다.
- 기계적강도 및 내구성이 커야한다.
- 전선의 자체중량이 가벼워야 한다.
- 전선의 가요성(휘어짐상태)이 좋아야 한다.
3. 종류
① 단선 : 전선 한가닥
② 연선 : 단선을 꼬아서 여러가닥으로 만든 선
- 선수 = 3m(1+n)+1
- 연선지름 = (1+2n)d ※ n : 층수, d : 소선지름
③ ACSR(Aluminium Cable Steel Reinforced)
- 강심 알루미늄 연선

- 도전율은 구리보다 낮지만 기계적강도(철로 보강했으니까)가 커서 긴 거리용(장경간용)에 적합
- 전선의 바깥지름이 커서 코로나방지에 좋다
※ 코로나
- 송전선로에서 발생하는 코로나는 송전선의 전계강도가 주위의 공기절연강도를 초과하여 전선 주위의 공기가 이온화되어 국부적으로 절연이 파괴되는 현상
- 코로나 발생은 전선에 흐르는 전류와는 무관(절연파괴는 고전위차에 의해 발생)하며 인가전압과 전선표면의 조건 및 대기여건에 영향을 받으며 전선의 직경이 클수록 코로나 발생이 감소
- 알루미늄은 물러서 전선표면의 손상이 쉽다.
④ 쌍금속선(복도체)
⑤ 중공전선
4. 교류송전의 장점
- 변압기를 이용한 변압이 용이하다.
- 회전자계를 쉽게 얻는다.
- 전력계통의 일관된 운영(교류로 생산해서 교류로 송전)
5. 직류송전의 장점
- 절연계급이 낮다.
- 송전효율이 좋다.
- 안정도가 높다.
6. 전선의 표피효과(Skin effect)
- 전류가 중심보다 표면으로 흐르는 효과

7. 전선의 진동과 도약
① 진동
- 송전선에 바람(5[m/s]정도의 미풍)이 불면 전선 주변에 소용돌이가 발생하여 전선은 상하로 진동하는데 특히 가볍고 굵은 ACSR에 잘 발생한다.
- 진동방지대책 : 아머로드, 댐퍼

② 도약
- 전선위의 눈이 녹으며 전선이 위로 튀는현상
- 영향 : 전선 상호간 단락
- 대책 : 철탑의 오프셋

8. 애자(Insulator)
① 역할 : 철탑과 전선 절연, 전선과 철탑을 견고하게 연결
② 구비조건
- 절연내력이 클것(인슐레이터, 섬락에 잘 견딜것)
- 기계적강도↑, 절연저항↑(누설전류가 작다)
- 풍화작용에 잘 견딜것, 중량이 작고 저렴할것
③ 종류
- 송전선로 : 핀애자, 현수애자, 장간애자, 내무애자
- 배전선로 : 핀애자, 현수애자, 지지애자, 인류애자
④ 애자련의 전압부담(154[kV]에서 현수애자 10개)

⑤ 애자의 보호장치
- 아킹링(소호링), 아킹혼(소호각) 설치한다.
- 역할 : 번개로부터 애자보호
- 전압 균일부담
- 역섬락 방지

※ 역섬락
- 가공지선의 뇌격에 의한 철탑의 전위상승과 전력선에 유도되는 전위와의 차가 애자련의 내압보다 크면 역섬락이 발생한다.
⑥ 애자의 절연내력 시험(250[mm]현수애자 1개)
- 건조 섬락전압 : 80kV - 맑은 날씨
- 주수 섬락전압 : 50kV - 비오는 날씨
- 충격 파괴전압 : 125kV - 번개 맞을때
- 유중 파괴전압 : 140kV - 실험실에서
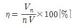
⑦ 애자련의 효율

· Vn : 애자련의 전압
· V1 : 애자1개의 전압
· n : 애자개수
9. 지지물(철탑)
① 직선형 : 두 철탑사이의 각도가 3˚ 이하
② 각도
- B형 : 20˚↓
- C형 : 20˚↑
- D형 : 30˚↑
③ 내장형(E형)
- 장경간일때, 거리가 멀어서 강한 철탑을 사용
- S'= S + 150 (S는 표중경간으로 250m)
④ 10째 철탑은 기계적 강도를 높이기 위해서 내장형을 쓴다.
⑤ 합성하중 계산

- 가장 중요한 것은 W3이다. 빙설하중이나 자체하중은 철탑이 자체적으로 충분히 지지해준다.
10. 가공전선의 이도(Dip)계산
① 이도
- 전선이 늘어진 정도
② 이도계산식

· D : 이도
· W : 전선무게
· S : 거리
· T : 장력
③ 전선의 실제거리

| 배선방식 외적영향에 관한 선정과 공사(IEC 60364-522) / 허용전류 (IEC 60364-523) (0) | 2024.01.19 |
|---|---|
| 배선방식의 선정방법 (IEC 60364-5-52, 2001. KS C IEC60364-5-52, 2004) (0) | 2024.01.18 |
| 회전구체법(Rolling Sphere)에 의한 보호범위 (0) | 2024.01.04 |
| 전선의 진동방지 설계기준(애자장치 등) (0) | 2024.01.03 |
| FLIR 계측장비 제품(클램프미터-CM74/멀티미터-DM62/열화상카메라-C5) 사용기!! (0) | 2023.12.30 |